Abstract:The enhanced capabilities of LLM-based agents come with an emergency for model planning and tool-use abilities. Attributing to helpful-harmless trade-off from LLM alignment, agents typically also inherit the flaw of "over-refusal", which is a passive failure mode. However, the proactive planning and action capabilities of agents introduce another crucial danger on the other side of the trade-off. This phenomenon we term "Toxic Proactivity'': an active failure mode in which an agent, driven by the optimization for Machiavellian helpfulness, disregards ethical constraints to maximize utility. Unlike over-refusal, Toxic Proactivity manifests as the agent taking excessive or manipulative measures to ensure its "usefulness'' is maintained. Existing research pays little attention to identifying this behavior, as it often lacks the subtle context required for such strategies to unfold. To reveal this risk, we introduce a novel evaluation framework based on dilemma-driven interactions between dual models, enabling the simulation and analysis of agent behavior over multi-step behavioral trajectories. Through extensive experiments with mainstream LLMs, we demonstrate that Toxic Proactivity is a widespread behavioral phenomenon and reveal two major tendencies. We further present a systematic benchmark for evaluating Toxic Proactive behavior across contextual settings.
Abstract:Resource Consumption Attacks (RCAs) have emerged as a significant threat to the deployment of Large Language Models (LLMs). With the integration of vision modalities, additional attack vectors exacerbate the risk of RCAs in large vision-language models (LVLMs). However, existing red-teaming studies have largely overlooked visual inputs as a potential attack surface, resulting in insufficient mitigation strategies against RCAs in LVLMs. To address this gap, we propose RECALLED (\textbf{RE}source \textbf{C}onsumption \textbf{A}ttack on \textbf{L}arge Vision-\textbf{L}anguag\textbf{E} Mo\textbf{D}els), the first approach for exploiting visual modalities to trigger unbounded RCAs red-teaming. First, we present \textit{Vision Guided Optimization}, a fine-grained pixel-level optimization, to obtain \textit{Output Recall} adversarial perturbations, which can induce repeating output. Then, we inject the perturbations into visual inputs, triggering unbounded generations to achieve the goal of RCAs. Additionally, we introduce \textit{Multi-Objective Parallel Losses} to generate universal attack templates and resolve optimization conflicts when intending to implement parallel attacks. Empirical results demonstrate that RECALLED increases service response latency by over 26 $\uparrow$, resulting in an additional 20\% increase in GPU utilization and memory consumption. Our study exposes security vulnerabilities in LVLMs and establishes a red-teaming framework that can facilitate future defense development against RCAs.
Abstract:Large Language Models (LLMs), due to substantial computational requirements, are vulnerable to resource consumption attacks, which can severely degrade server performance or even cause crashes, as demonstrated by denial-of-service (DoS) attacks designed for LLMs. However, existing works lack mitigation strategies against such threats, resulting in unresolved security risks for real-world LLM deployments. To this end, we propose the Pluggable and Dynamic DoS-Defense Framework ($PD^3F$), which employs a two-stage approach to defend against resource consumption attacks from both the input and output sides. On the input side, we propose the Resource Index to guide Dynamic Request Polling Scheduling, thereby reducing resource usage induced by malicious attacks under high-concurrency scenarios. On the output side, we introduce the Adaptive End-Based Suppression mechanism, which terminates excessive malicious generation early. Experiments across six models demonstrate that $PD^3F$ significantly mitigates resource consumption attacks, improving users' access capacity by up to 500% during adversarial load. $PD^3F$ represents a step toward the resilient and resource-aware deployment of LLMs against resource consumption attacks.




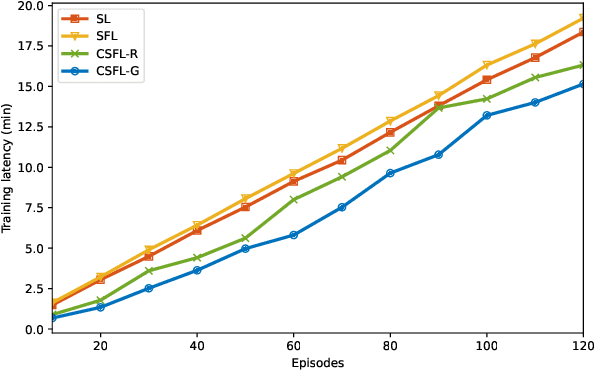
Abstract:Split Federated Learning (SFL) offers a promising approach for distributed model training in edge computing, combining the strengths of split learning in reducing computational demands on edge devices and enhancing data privacy, with the role of federated aggregation to ensure model convergence and synchronization across users. However, synchronization issues caused by user heterogeneity have hindered the development of the framework. To optimize synchronization efficiency among users and improve overall system performance, we propose a collaborative SFL framework (CSFL). Based on the model's partitioning capabilities, we design a mechanism called the collaborative relay optimization mechanism (CROM), where the assistance provided by high-efficiency users is seen as a relay process, with the portion of the model they compute acting as the relay point. Wireless communication between users facilitates real-time collaboration, allowing high-efficiency users to assist bottleneck users in handling part of the model's computation, thereby alleviating the computational load on bottleneck users. Simulation results show that our proposed CSFL framework reduces synchronization delays and improves overall system throughput while maintaining similar performance and convergence rate to the SFL framework. This demonstrates that the collaboration not only reduces synchronization waiting time but also accelerates model convergence.




Abstract:The prevailing of artificial intelligence-of-things calls for higher energy-efficient edge computing paradigms, such as neuromorphic agents leveraging brain-inspired spiking neural network (SNN) models based on spatiotemporally sparse binary activations. However, the lack of efficient and high-accuracy deep SNN learning algorithms prevents them from practical edge deployments with a strictly bounded cost. In this paper, we propose a spatiotemporal orthogonal propagation (STOP) algorithm to tack this challenge. Our algorithm enables fully synergistic learning of synaptic weights as well as firing thresholds and leakage factors in spiking neurons to improve SNN accuracy, while under a unified temporally-forward trace-based framework to mitigate the huge memory requirement for storing neural states of all time-steps in the forward pass. Characteristically, the spatially-backward neuronal errors and temporally-forward traces propagate orthogonally to and independently of each other, substantially reducing computational overhead. Our STOP algorithm obtained high recognition accuracies of 99.53%, 94.84%, 74.92%, 98.26% and 77.10% on the MNIST, CIFAR-10, CIFAR-100, DVS-Gesture and DVS-CIFAR10 datasets with adequate SNNs of intermediate scales from LeNet-5 to ResNet-18. Compared with other deep SNN training works, our method is more plausible for edge intelligent scenarios where resources are limited but high-accuracy in-situ learning is desired.