Abstract:An end-to-end autoencoder (AE) framework is developed for downlink non-orthogonal multiple access (NOMA) over Rayleigh fading channels, which learns interference-aware and channel-adaptive super-constellations. While existing works either assume additive white Gaussian noise channels or treat fading channels without a fully end-to-end learning approach, our framework directly embeds the wireless channel into both training and inference. To account for practical channel state information (CSI), we further incorporate limited feedback via both uniform and Lloyd-Max quantization of channel gains and analyze their impact on AE training and bit error rate (BER) performance. Simulation results show that, with perfect CSI, the proposed AE outperforms the existing analytical NOMA schemes. In addition, Lloyd-Max quantization achieves superior BER performance compared to uniform quantization. These results demonstrate that end-to-end AEs trained directly over Rayleigh fading can effectively learn robust, interference-aware signaling strategies, paving the way for NOMA deployment in fading environments with realistic CSI constraints.
Abstract:The integrated design of communication and sensing may offer a potential solution to address spectrum congestion. In this work, we develop a beamforming method for a dual-function radar-communication system, where the transmit signal is used for both radar surveillance and communication with multiple downlink users, despite imperfect channel state information (CSI). We focus on two scenarios of interest: radar-centric and communication-centric. In the radar-centric scenario, the primary goal is to optimize radar performance while attaining acceptable communication performance. To this end, we minimize a weighted sum of the mean-squared error in achieving a desired beampattern and a mean-squared cross correlation of the radar returns from directions of interest (DOI). We also seek to ensure that the probability of outage for the communication users remains below a desired threshold. In the communication-centric scenario, our main objective is to minimize the maximum probability of outage among the communication users while keeping the aforementioned radar metrics below a desired threshold. Both optimization problems are stochastic and untractable. We first take advantage of central limit theorem to obtain deterministic non-convex problems and then consider relaxations of these problems in the form of semidefinite programs with rank-1 constraints. We provide numerical experiments demonstrating the effectiveness of the proposed designs.
Abstract:Deep learning models for channel estimation in Orthogonal Frequency Division Multiplexing (OFDM) systems often suffer from performance degradation under fast-fading channels and low-SNR scenarios. To address these limitations, we introduce the Adaptive Fortified Transformer (AdaFortiTran), a novel model specifically designed to enhance channel estimation in challenging environments. Our approach employs convolutional layers that exploit locality bias to capture strong correlations between neighboring channel elements, combined with a transformer encoder that applies the global Attention mechanism to channel patches. This approach effectively models both long-range dependencies and spectro-temporal interactions within single OFDM frames. We further augment the model's adaptability by integrating nonlinear representations of available channel statistics SNR, delay spread, and Doppler shift as priors. A residual connection is employed to merge global features from the transformer with local features from early convolutional processing, followed by final convolutional layers to refine the hierarchical channel representation. Despite its compact architecture, AdaFortiTran achieves up to 6 dB reduction in mean squared error (MSE) compared to state-of-the-art models. Tested across a wide range of Doppler shifts (200-1000 Hz), SNRs (0 to 25 dB), and delay spreads (50-300 ns), it demonstrates superior robustness in high-mobility environments.
Abstract:Current applications of self-supervised learning to wireless channel representation often borrow paradigms developed for text and image processing, without fully addressing the unique characteristics and constraints of wireless communications. Aiming to fill this gap, we first propose WiMAE (Wireless Masked Autoencoder), a transformer-based encoder-decoder foundation model pretrained on a realistic open-source multi-antenna wireless channel dataset. Building upon this foundation, we develop ContraWiMAE, which enhances WiMAE by incorporating a contrastive learning objective alongside the reconstruction task in a unified multi-task framework. By warm-starting from pretrained WiMAE weights and generating positive pairs via noise injection, the contrastive component enables the model to capture both structural and discriminative features, enhancing representation quality beyond what reconstruction alone can achieve. Through extensive evaluation on unseen scenarios, we demonstrate the effectiveness of both approaches across multiple downstream tasks, with ContraWiMAE showing further improvements in linear separability and adaptability in diverse wireless environments. Comparative evaluations against a state-of-the-art wireless channel foundation model confirm the superior performance and data efficiency of our models, highlighting their potential as powerful baselines for future research in self-supervised wireless channel representation learning.




Abstract:We present a general mathematical framework for optimizing cell deployment and antenna configuration in wireless networks, inspired by quantization theory. Unlike traditional methods, our framework supports networks with deterministically located nodes, enabling modeling and optimization under controlled deployment scenarios. We demonstrate our framework through two applications: joint fine-tuning of antenna parameters across base stations (BSs) to optimize network coverage, capacity, and load balancing, and the strategic deployment of new BSs, including the optimization of their locations and antenna settings. These optimizations are conducted for a heterogeneous 3D user population, comprising ground users (GUEs) and uncrewed aerial vehicles (UAVs) along aerial corridors. Our case studies highlight the framework's versatility in optimizing performance metrics such as the coverage-capacity trade-off and capacity per region. Our results confirm that optimizing the placement and orientation of additional BSs consistently outperforms approaches focused solely on antenna adjustments, regardless of GUE distribution. Furthermore, joint optimization for both GUEs and UAVs significantly enhances UAV service without severely affecting GUE performance.



Abstract:Distributed learning algorithms, such as the ones employed in Federated Learning (FL), require communication compression to reduce the cost of client uploads. The compression methods used in practice are often biased, which require error feedback to achieve convergence when the compression is aggressive. In turn, error feedback requires client-specific control variates, which directly contradicts privacy-preserving principles and requires stateful clients. In this paper, we propose Compressed Aggregate Feedback (CAFe), a novel distributed learning framework that allows highly compressible client updates by exploiting past aggregated updates, and does not require control variates. We consider Distributed Gradient Descent (DGD) as a representative algorithm and provide a theoretical proof of CAFe's superiority to Distributed Compressed Gradient Descent (DCGD) with biased compression in the non-smooth regime with bounded gradient dissimilarity. Experimental results confirm that CAFe consistently outperforms distributed learning with direct compression and highlight the compressibility of the client updates with CAFe.




Abstract:Many challenges in science and engineering, such as drug discovery and communication network design, involve optimizing complex and expensive black-box functions across vast search spaces. Thus, it is essential to leverage existing data to avoid costly active queries of these black-box functions. To this end, while Offline Black-Box Optimization (BBO) is effective for deterministic problems, it may fall short in capturing the stochasticity of real-world scenarios. To address this, we introduce Stochastic Offline BBO (SOBBO), which tackles both black-box objectives and uncontrolled uncertainties. We propose two solutions: for large-data regimes, a differentiable surrogate allows for gradient-based optimization, while for scarce-data regimes, we directly estimate gradients under conservative field constraints, improving robustness, convergence, and data efficiency. Numerical experiments demonstrate the effectiveness of our approach on both synthetic and real-world tasks.




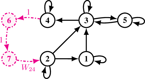
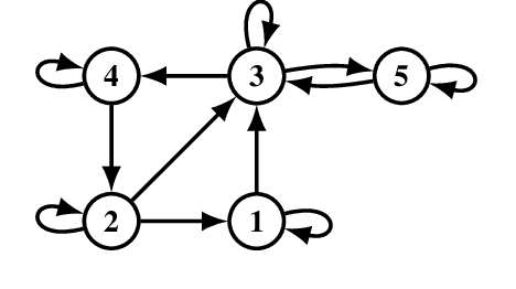
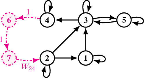
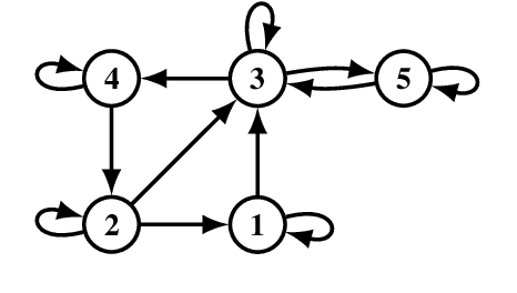
Abstract:We consider a decentralized optimization problem for networks affected by communication delays. Examples of such networks include collaborative machine learning, sensor networks, and multi-agent systems. To mimic communication delays, we add virtual non-computing nodes to the network, resulting in directed graphs. This motivates investigating decentralized optimization solutions on directed graphs. Existing solutions assume nodes know their out-degrees, resulting in limited applicability. To overcome this limitation, we introduce a novel gossip-based algorithm, called DT-GO, that does not need to know the out-degrees. The algorithm is applicable in general directed networks, for example networks with delays or limited acknowledgment capabilities. We derive convergence rates for both convex and non-convex objectives, showing that our algorithm achieves the same complexity order as centralized Stochastic Gradient Descent. In other words, the effects of the graph topology and delays are confined to higher-order terms. Additionally, we extend our analysis to accommodate time-varying network topologies. Numerical simulations are provided to support our theoretical findings.




Abstract:We consider the problem of decentralized optimization in networks with communication delays. To accommodate delays, we need decentralized optimization algorithms that work on directed graphs. Existing approaches require nodes to know their out-degree to achieve convergence. We propose a novel gossip-based algorithm that circumvents this requirement, allowing decentralized optimization in networks with communication delays. We prove that our algorithm converges on non-convex objectives, with the same main complexity order term as centralized Stochastic Gradient Descent (SGD), and show that the graph topology and the delays only affect the higher order terms. We provide numerical simulations that illustrate our theoretical results.
Abstract:Wireless communication systems to date primarily rely on the orthogonality of resources to facilitate the design and implementation, from user access to data transmission. Emerging applications and scenarios in the sixth generation (6G) wireless systems will require massive connectivity and transmission of a deluge of data, which calls for more flexibility in the design concept that goes beyond orthogonality. Furthermore, recent advances in signal processing and learning have attracted considerable attention, as they provide promising approaches to various complex and previously intractable problems of signal processing in many fields. This article provides an overview of research efforts to date in the field of signal processing and learning for next-generation multiple access, with an emphasis on massive random access and non-orthogonal multiple access. The promising interplay with new technologies and the challenges in learning-based NGMA are discussed.