



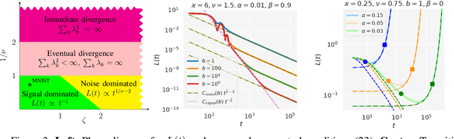
Abstract:We consider SGD-type optimization on infinite-dimensional quadratic problems with power law spectral conditions. It is well-known that on such problems deterministic GD has loss convergence rates $L_t=O(t^{-\zeta})$, which can be improved to $L_t=O(t^{-2\zeta})$ by using Heavy Ball with a non-stationary Jacobi-based schedule (and the latter rate is optimal among fixed schedules). However, in the mini-batch Stochastic GD setting, the sampling noise causes the Jacobi HB to diverge; accordingly no $O(t^{-2\zeta})$ algorithm is known. In this paper we show that rates up to $O(t^{-2\zeta})$ can be achieved by a generalized stationary SGD with infinite memory. We start by identifying generalized (S)GD algorithms with contours in the complex plane. We then show that contours that have a corner with external angle $\theta\pi$ accelerate the plain GD rate $O(t^{-\zeta})$ to $O(t^{-\theta\zeta})$. For deterministic GD, increasing $\theta$ allows to achieve rates arbitrarily close to $O(t^{-2\zeta})$. However, in Stochastic GD, increasing $\theta$ also amplifies the sampling noise, so in general $\theta$ needs to be optimized by balancing the acceleration and noise effects. We prove that the optimal rate is given by $\theta_{\max}=\min(2,\nu,\tfrac{2}{\zeta+1/\nu})$, where $\nu,\zeta$ are the exponents appearing in the capacity and source spectral conditions. Furthermore, using fast rational approximations of the power functions, we show that ideal corner algorithms can be efficiently approximated by finite-memory algorithms, and demonstrate their practical efficiency on a synthetic problem and MNIST.




Abstract:An important open problem is the theoretically feasible acceleration of mini-batch SGD-type algorithms on quadratic problems with power-law spectrum. In the non-stochastic setting, the optimal exponent $\xi$ in the loss convergence $L_t\sim C_Lt^{-\xi}$ is double that in plain GD and is achievable using Heavy Ball (HB) with a suitable schedule; this no longer works in the presence of mini-batch noise. We address this challenge by considering first-order methods with an arbitrary fixed number $M$ of auxiliary velocity vectors (*memory-$M$ algorithms*). We first prove an equivalence between two forms of such algorithms and describe them in terms of suitable characteristic polynomials. Then we develop a general expansion of the loss in terms of signal and noise propagators. Using it, we show that losses of stationary stable memory-$M$ algorithms always retain the exponent $\xi$ of plain GD, but can have different constants $C_L$ depending on their effective learning rate that generalizes that of HB. We prove that in memory-1 algorithms we can make $C_L$ arbitrarily small while maintaining stability. As a consequence, we propose a memory-1 algorithm with a time-dependent schedule that we show heuristically and experimentally to improve the exponent $\xi$ of plain SGD.




Abstract:The asymptotically precise estimation of the generalization of kernel methods has recently received attention due to the parallels between neural networks and their associated kernels. However, prior works derive such estimates for training by kernel ridge regression (KRR), whereas neural networks are typically trained with gradient descent (GD). In the present work, we consider the training of kernels with a family of $\textit{spectral algorithms}$ specified by profile $h(\lambda)$, and including KRR and GD as special cases. Then, we derive the generalization error as a functional of learning profile $h(\lambda)$ for two data models: high-dimensional Gaussian and low-dimensional translation-invariant model. Under power-law assumptions on the spectrum of the kernel and target, we use our framework to (i) give full loss asymptotics for both noisy and noiseless observations (ii) show that the loss localizes on certain spectral scales, giving a new perspective on the KRR saturation phenomenon (iii) conjecture, and demonstrate for the considered data models, the universality of the loss w.r.t. non-spectral details of the problem, but only in case of noisy observation.



Abstract:We explore the theoretical possibility of learning $d$-dimensional targets with $W$-parameter models by gradient flow (GF) when $W<d$. Our main result shows that if the targets are described by a particular $d$-dimensional probability distribution, then there exist models with as few as two parameters that can learn the targets with arbitrarily high success probability. On the other hand, we show that for $W<d$ there is necessarily a large subset of GF-non-learnable targets. In particular, the set of learnable targets is not dense in $\mathbb R^d$, and any subset of $\mathbb R^d$ homeomorphic to the $W$-dimensional sphere contains non-learnable targets. Finally, we observe that the model in our main theorem on almost guaranteed two-parameter learning is constructed using a hierarchical procedure and as a result is not expressible by a single elementary function. We show that this limitation is essential in the sense that such learnability can be ruled out for a large class of elementary functions.
Abstract:By universal formulas we understand parameterized analytic expressions that have a fixed complexity, but nevertheless can approximate any continuous function on a compact set. There exist various examples of such formulas, including some in the form of neural networks. In this paper we analyze the essential structural elements of these highly expressive models. We introduce a hierarchy of expressiveness classes connecting the global approximability property to the weaker property of infinite VC dimension, and prove a series of classification results for several increasingly complex functional families. In particular, we introduce a general family of polynomially-exponentially-algebraic functions that, as we prove, is subject to polynomial constraints. As a consequence, we show that fixed-size neural networks with not more than one layer of neurons having transcendental activations (e.g., sine or standard sigmoid) cannot in general approximate functions on arbitrary finite sets. On the other hand, we give examples of functional families, including two-hidden-layer neural networks, that approximate functions on arbitrary finite sets, but fail to do that on the whole domain of definition.




Abstract:Mini-batch SGD with momentum is a fundamental algorithm for learning large predictive models. In this paper we develop a new analytic framework to analyze mini-batch SGD for linear models at different momenta and sizes of batches. Our key idea is to describe the loss value sequence in terms of its generating function, which can be written in a compact form assuming a diagonal approximation for the second moments of model weights. By analyzing this generating function, we deduce various conclusions on the convergence conditions, phase structure of the model, and optimal learning settings. As a few examples, we show that 1) the optimization trajectory can generally switch from the "signal-dominated" to the "noise-dominated" phase, at a time scale that can be predicted analytically; 2) in the "signal-dominated" (but not the "noise-dominated") phase it is favorable to choose a large effective learning rate, however its value must be limited for any finite batch size to avoid divergence; 3) optimal convergence rate can be achieved at a negative momentum. We verify our theoretical predictions by extensive experiments with MNIST and synthetic problems, and find a good quantitative agreement.




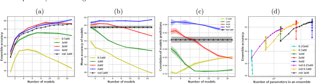
Abstract:A memory efficient approach to ensembling neural networks is to share most weights among the ensembled models by means of a single reference network. We refer to this strategy as Embedded Ensembling (EE); its particular examples are BatchEnsembles and Monte-Carlo dropout ensembles. In this paper we perform a systematic theoretical and empirical analysis of embedded ensembles with different number of models. Theoretically, we use a Neural-Tangent-Kernel-based approach to derive the wide network limit of the gradient descent dynamics. In this limit, we identify two ensemble regimes - independent and collective - depending on the architecture and initialization strategy of ensemble models. We prove that in the independent regime the embedded ensemble behaves as an ensemble of independent models. We confirm our theoretical prediction with a wide range of experiments with finite networks, and further study empirically various effects such as transition between the two regimes, scaling of ensemble performance with the network width and number of models, and dependence of performance on a number of architecture and hyperparameter choices.




Abstract:Performance of optimization on quadratic problems sensitively depends on the low-lying part of the spectrum. For large (effectively infinite-dimensional) problems, this part of the spectrum can often be naturally represented or approximated by power law distributions. In this paper we perform a systematic study of a range of classical single-step and multi-step first order optimization algorithms, with adaptive and non-adaptive, constant and non-constant learning rates: vanilla Gradient Descent, Steepest Descent, Heavy Ball, and Conjugate Gradients. For each of these, we prove that a power law spectral assumption entails a power law for convergence rate of the algorithm, with the convergence rate exponent given by a specific multiple of the spectral exponent. We establish both upper and lower bounds, showing that the results are tight. Finally, we demonstrate applications of these results to kernel learning and training of neural networks in the NTK regime.




Abstract:Current theoretical results on optimization trajectories of neural networks trained by gradient descent typically have the form of rigorous but potentially loose bounds on the loss values. In the present work we take a different approach and show that the learning trajectory can be characterized by an explicit asymptotic at large training times. Specifically, the leading term in the asymptotic expansion of the loss behaves as a power law $L(t) \sim t^{-\xi}$ with exponent $\xi$ expressed only through the data dimension, the smoothness of the activation function, and the class of function being approximated. Our results are based on spectral analysis of the integral operator representing the linearized evolution of a large network trained on the expected loss. Importantly, the techniques we employ do not require specific form of a data distribution, for example Gaussian, thus making our findings sufficiently universal.



Abstract:We call a finite family of activation functions superexpressive if any multivariate continuous function can be approximated by a neural network that uses these activations and has a fixed architecture only depending on the number of input variables (i.e., to achieve any accuracy we only need to adjust the weights, without increasing the number of neurons). Previously, it was known that superexpressive activations exist, but their form was quite complex. We give examples of very simple superexpressive families: for example, we prove that the family {sin, arcsin} is superexpressive. We also show that most practical activations (not involving periodic functions) are not superexpressive.