Abstract:Next-generation wireless networks are envisioned to achieve reliable, low-latency connectivity within environments characterized by strong multipath and severe channel variability. Programmable wireless environments (PWEs) address this challenge by enabling deterministic control of electromagnetic (EM) propagation through software-defined reconfigurable intelligent surfaces (RISs). However, effectively configuring RISs in real time remains a major bottleneck, particularly under near-field conditions where mutual coupling and specular reflections alter the intended response. To overcome this limitation, this paper introduces MATCH, a physics-based codebook compilation algorithm that explicitly accounts for the EM coupling among RIS unit cells and the reflective interactions with surrounding structures, ensuring that the resulting codebooks remain consistent with the physical characteristics of the environment. Finally, MATCH is evaluated under a full-wave simulation framework incorporating mutual coupling and secondary reflections, demonstrating its ability to concentrate scattered energy within the focal region, confirming that physics-consistent, codebook-based optimization constitutes an effective approach for practical and efficient RIS configuration.
Abstract:Contemporary industrial Non-Destructive Inspection (NDI) methods require sensing capabilities that operate in occluded, hazardous, or access restricted environments. Yet, the current visual inspection based on optical cameras offers limited quality of service to that respect. In that sense, novel methods for workpiece inspection, suitable, for smart manufacturing are needed. Programmable Wireless Environments (PWE) could help towards that direction, by redefining the wireless Radio Frequency (RF) wave propagation as a controllable inspector entity. In this work, we propose a novel approach to Non-Destructive Inspection, leveraging an RF sensing pipeline based on RF wavefront encoding for retrieving workpiece-image entries from a designated database. This approach combines PWE-enabled RF wave manipulation with machine learning (ML) tools trained to produce visual outputs for quality inspection. Specifically, we establish correlation relationships between RF wavefronts and target industrial assets, hence yielding a dataset which links wavefronts to their corresponding images in a structured manner. Subsequently, a Generative Adversarial Network (GAN) derives visual representations closely matching the database entries. Our results indicate that the proposed method achieves an SSIM 99.5% matching score in visual outputs, paving the way for next-generation quality control workflows in industry.




Abstract:Programmable wireless environments (PWEs) have emerged as a key paradigm for next-generation communication networks, aiming to transform wireless propagation from an uncontrollable phenomenon into a reconfigurable process that can adapt to diverse service requirements. In this framework, pinching-antenna systems (PASs) have recently been proposed as a promising enabling technology, as they allow the radiation location and effective propagation distance to be adjusted by selectively exciting radiating points along a dielectric waveguide. However, most existing studies on PASs rely on the idealized assumption that pinching-antenna (PA) positions can be continuously adjusted along the waveguide, while realistically only a finite set of pinching locations is available. Motivated by this, this paper analyzes the performance of two-state PASs, where the PA positions are fixed and only their activation state can be controlled. By explicitly accounting for the spatial discreteness of the available pinching points, closed-form analytical expressions for the outage probability and the ergodic achievable data rate are derived. In addition, we introduce the pinching discretization efficiency to quantify the performance gap between discrete and continuous pinching configurations, enabling a direct assessment of the number of PAs required to approximate the ideal continuous case. Finally, numerical results validate the analytical framework and show that near-continuous performance can be achieved with a limited number of PAs, offering useful insights for the design and deployment of PASs in PWEs.
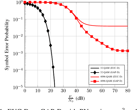
Abstract:This paper presents a maximum-likelihood detection framework that jointly mitigates hardware (HW) impairments in both amplitude and phase. By modeling transceiver distortions as residual amplitude and phase noise, we introduce the approximate phase-and-amplitude distortion detector (PAD-D), which operates in the polar domain and effectively mitigates both distortion components through distortion-aware weighting. The proposed detector performs reliable detection under generalized HW impairment conditions, achieving substantial performance gains over the conventional Euclidean detector (EUC-D) and the Gaussian-assumption phase noise detector (GAP-D), which is primarily designed to address phase distortions. In addition, we derive a closed-form high-SNR symbol error probability (SEP) approximation, which offers a generic analytical expression applicable to arbitrary constellations. Simulation results demonstrate that the PAD-D achieves up to an order-of-magnitude reduction in the error floor relative to EUC-D and GAP-D for both high-order quadrature amplitude modulation (QAM) and super amplitude phase-shift keying (SAPSK) constellations, establishing a unified and practical framework for detection under realistic transceiver impairments. Building on this framework, we further develop optimized constellations tailored to PAD-D, where the symbol positions are optimized in the complex plane to minimize SEP. The optimality of these constellations is confirmed through extensive simulations, which also verify the accuracy of the proposed analytical SEP approximation, even for the optimized designs.
Abstract:Cognitive radio rate-splitting multiple access (CR-RSMA) has emerged as a promising multiple access framework that can efficiently manage interference and adapt dynamically to heterogeneous quality-of-service (QoS) requirements. To effectively support such demanding access schemes, programmable wireless environments have attracted considerable attention, especially through simultaneously transmitting and reflecting reconfigurable intelligent surfaces (STAR-RISs), which can enable full-space control of signal propagation in asymmetric user deployments. In this paper, we propose the cognitive radio (CR) functionality for STAR-RIS-assisted CR-RSMA systems, leveraging the unique capability of the STAR-RIS to combine element and power splitting for adaptive control of transmission and reflection in CR scenarios. Specifically, the proposed CR functionality partitions the STAR-RIS into two regions independently controlling the transmission and reflection of signals, simultaneously ensuring the required QoS for the primary user and enhancing the performance of the secondary user. To accurately characterize the system performance, we derive analytical expressions for the ergodic rate of the secondary user and the outage rate of the primary user under Nakagami-m fading. Finally, simulation results show that the proposed approach effectively manages interference, guarantees the QoS of the primary user, and significantly improves the throughput of the secondary user, highlighting STAR-RIS as an efficient solution for CR-RSMA-based services.




Abstract:Lately a new approach to Extended Reality (XR), denoted as XR-RF, has been proposed which is realized by combining Radio Frequency (RF) Imaging and programmable wireless environments (PWEs). RF Imaging is a technique that aims to detect geometric and material features of an object through RF waves. On the other hand, the PWE focuses on the the conversion of the wireless RF propagation in a controllable, by software, entity through the utilization of Reconfigurable Intelligent Surfaces (RISs), which can have a controllable interaction with impinging RF waves. In that sense, this dynamic synergy leverages the potential of RF Imaging to detect the structure of an object through RF wavefronts and the PWE's ability to selectively replicate those RF wavefronts from one spatial location to wherever an XR-RF mobile user is presently located. Then the captured wavefront, through appropriate hardware, is mapped to the visual representation of the object through machine learning models. As a key aspect of the XR-RF's system workflow is the wavefront copying mechanism, this work introduces a new PWE configuration algorithm for XR-RF. Moreover, it is shown that the waveform replication process inevitably yields imprecision in the replication process. After statistical analysis, based on simulation results, it is shown that this imprecision can be effectively modeled by the gamma distribution.




Abstract:In the evolving landscape of sixth-generation (6G) wireless networks, which demand ultra high data rates, this study introduces the concept of super constellation communications. Also, we present super amplitude phase shift keying (SAPSK), an innovative modulation technique designed to achieve these ultra high data rate demands. SAPSK is complemented by the generalized polar distance detector (GPD-D), which approximates the optimal maximum likelihood detector in channels with Gaussian phase noise (GPN). By leveraging the decision regions formulated by GPD-D, a tight closed-form approximation for the symbol error probability (SEP) of SAPSK constellations is derived, while a detection algorithm with O(1) time complexity is developed to ensure fast and efficient SAPSK symbol detection. Finally, the theoretical performance of SAPSK and the efficiency of the proposed O(1) algorithm are validated by numerical simulations, highlighting both its superiority in terms of SEP compared to various constellations and its practical advantages in terms of fast and accurate symbol detection.
Abstract:In the evolving landscape of sixth-generation (6G) wireless networks, unmanned aerial vehicles (UAVs) have emerged as transformative tools for dynamic and adaptive connectivity. However, dynamically adjusting their position to offer favorable communication channels introduces operational challenges in terms of energy consumption, especially when integrating advanced communication technologies like reconfigurable intelligent surfaces (RISs) and full-duplex relays (FDRs). To this end, by recognizing the pivotal role of UAV mobility, the paper introduces an energy-aware trajectory design for UAV-mounted RISs and UAV-mounted FDRs using the decode and forward (DF) protocol, aiming to maximize the network minimum rate and enhance user fairness, while taking into consideration the available on-board energy. Specifically, this work highlights their distinct energy consumption characteristics and their associated integration challenges by developing appropriate energy consumption models for both UAV-mounted RISs and FDRs that capture the intricate relationship between key factors such as weight, and their operational characteristics. Furthermore, a joint time-division multiple access (TDMA) user scheduling-UAV trajectory optimization problem is formulated, considering the power dynamics of both systems, while assuring that the UAV energy is not depleted mid-air. Finally, simulation results underscore the importance of energy considerations in determining the optimal trajectory and scheduling and provide insights into the performance comparison of UAV-mounted RISs and FDRs in UAV-assisted wireless networks.




Abstract:A primary objective of the forthcoming sixth generation (6G) of wireless networking is to support demanding applications, while ensuring energy efficiency. Programmable wireless environments (PWEs) have emerged as a promising solution, leveraging reconfigurable intelligent surfaces (RISs), to control wireless propagation and deliver exceptional quality-ofservice. In this paper, we analyze the performance of a network supported by zero-energy RISs (zeRISs), which harvest energy for their operation and contribute to the realization of PWEs. Specifically, we investigate joint energy-data rate outage probability and the energy efficiency of a zeRIS-assisted communication system by employing three harvest-and-reflect (HaR) methods, i) power splitting, ii) time switching, and iii) element splitting. Furthermore, we consider two zeRIS deployment strategies, namely BS-side zeRIS and UE-side zeRIS. Simulation results validate the provided analysis and examine which HaR method performs better depending on the zeRIS placement. Finally, valuable insights and conclusions for the performance of zeRISassisted wireless networks are drawn from the presented results.
Abstract:Reconfigurable Intelligent Surfaces (RIS) constitute a promising technology that could fulfill the extreme performance and capacity needs of the upcoming 6G wireless networks, by offering software-defined control over wireless propagation phenomena. Despite the existence of many theoretical models describing various aspects of RIS from the signal processing perspective (e.g., channel fading models), there is no open platform to simulate and study their actual physical-layer behavior, especially in the multi-RIS case. In this paper, we develop an open simulation platform, aimed at modeling the physical-layer electromagnetic coupling and propagation between RIS pairs. We present the platform by initially designing a basic unit cell, and then proceeding to progressively model and simulate multiple and larger RISs. The platform can be used for producing verifiable stochastic models for wireless communication in multi-RIS deployments, such as vehicle-to-everything (V2X) communications in autonomous vehicles and cybersecurity schemes, while its code is freely available to the public.