



Abstract:Physics-based inverse rendering aims to jointly optimize shape, materials, and lighting from captured 2D images. Here lighting is an important part of achieving faithful light transport simulation. While the environment map is commonly used as the lighting model in inverse rendering, we show that its distant lighting assumption leads to spatial invariant lighting, which can be an inaccurate approximation in real-world inverse rendering. We propose to use NeRF as a spatially varying environment lighting model and build an inverse rendering pipeline using NeRF as the non-distant environment emitter. By comparing our method with the environment map on real and synthetic datasets, we show that our NeRF-based emitter models the scene lighting more accurately and leads to more accurate inverse rendering. Project page and video: https://nerfemitterpbir.github.io/.




Abstract:Integrated visible light positioning and communication (VLPC), capable of combining advantages of visible light communications (VLC) and visible light positioning (VLP), is a promising key technology for the future Internet of Things. In VLPC networks, positioning and communications are inherently coupled, which has not been sufficiently explored in the literature. We propose a robust power allocation scheme for integrated VLPC Networks by exploiting the intrinsic relationship between positioning and communications. Specifically, we derive explicit relationships between random positioning errors, following both a Gaussian distribution and an arbitrary distribution, and channel state information errors. Then, we minimize the Cramer-Rao lower bound (CRLB) of positioning errors, subject to the rate outage constraint and the power constraints, which is a chance-constrained optimization problem and generally computationally intractable. To circumvent the nonconvex challenge, we conservatively transform the chance constraints to deterministic forms by using the Bernstein-type inequality and the conditional value-at-risk for the Gaussian and arbitrary distributed positioning errors, respectively, and then approximate them as convex semidefinite programs. Finally, simulation results verify the robustness and effectiveness of our proposed integrated VLPC design schemes.




Abstract:In this paper, we propose joint beamforming and photo-detector (PD) orientation (BO) optimization schemes for mobile visible light communication (VLC) with the orientation adjustable receiver (OAR). Since VLC is sensitive to line-of-sight propagation, we first establish the OAR model and the human body blockage model for mobile VLC user equipment (UE). To guarantee the quality of service (QoS) of mobile VLC, we jointly optimize BO with minimal UE the power consumption for both fixed and random UE orientation cases. For the fixed UE orientation case, since the {transmit} beamforming and the PD orientation are mutually coupled, the joint BO optimization problem is nonconvex and intractable. To address this challenge, we propose an alternating optimization algorithm to obtain the transmit beamforming and the PD orientation. For the random UE orientation case, we further propose a robust alternating BO optimization algorithm to ensure the worst-case QoS requirement of the mobile UE. Finally, the performance of joint BO optimization design schemes are evaluated for mobile VLC through numerical experiments.




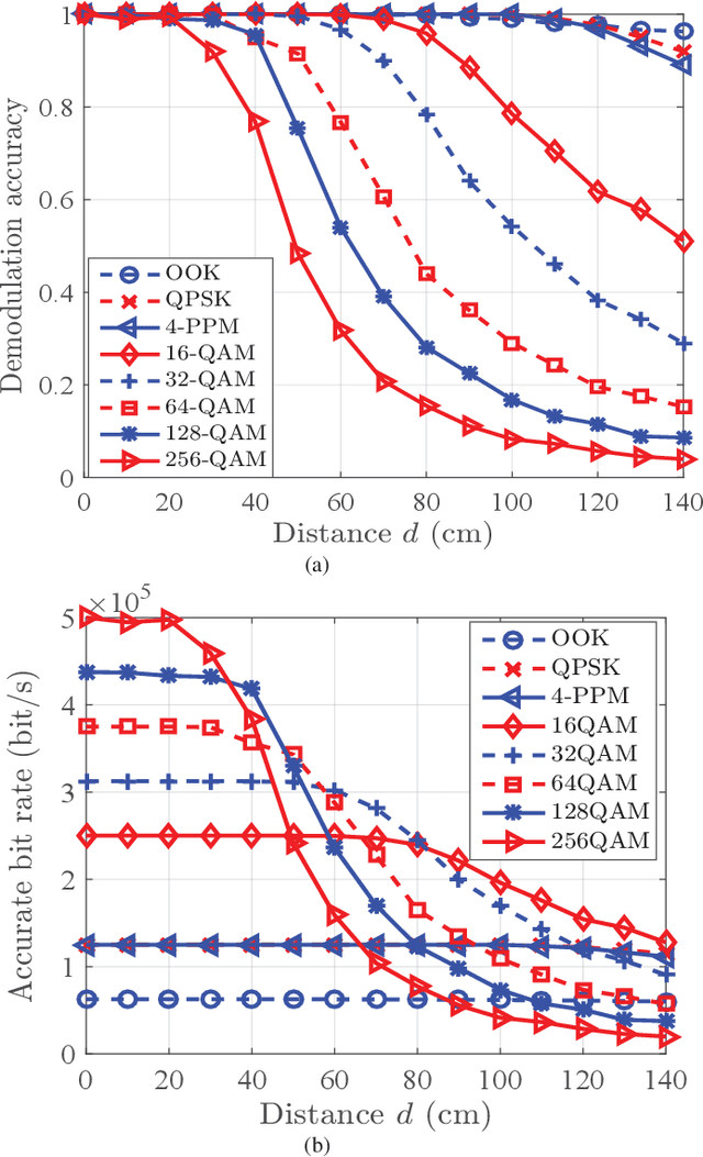
Abstract:In this paper, we investigate the design and implementation of machine learning (ML) based demodulation methods in the physical layer of visible light communication (VLC) systems. We build a flexible hardware prototype of an end-to-end VLC system, from which the received signals are collected as the real data. The dataset is available online, which contains eight types of modulated signals. Then, we propose three ML demodulators based on convolutional neural network (CNN), deep belief network (DBN), and adaptive boosting (AdaBoost), respectively. Specifically, the CNN based demodulator converts the modulated signals to images and recognizes the signals by the image classification. The proposed DBN based demodulator contains three restricted Boltzmann machines (RBMs) to extract the modulation features. The AdaBoost method includes a strong classifier that is constructed by the weak classifiers with the k-nearest neighbor (KNN) algorithm. These three demodulators are trained and tested by our online open dataset. Experimental results show that the demodulation accuracy of the three data-driven demodulators drops as the transmission distance increases. A higher modulation order negatively influences the accuracy for a given transmission distance. Among the three ML methods, the AdaBoost modulator achieves the best performance.