



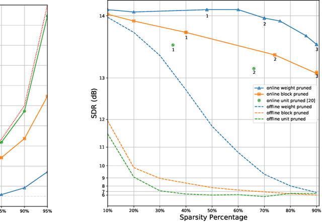
Abstract:We explore network sparsification strategies with the aim of compressing neural speech enhancement (SE) down to an optimal configuration for a new generation of low power microcontroller based neural accelerators (microNPU's). We examine three unique sparsity structures: weight pruning, block pruning and unit pruning; and discuss their benefits and drawbacks when applied to SE. We focus on the interplay between computational throughput, memory footprint and model quality. Our method supports all three structures above and jointly learns integer quantized weights along with sparsity. Additionally, we demonstrate offline magnitude based pruning of integer quantized models as a performance baseline. Although efficient speech enhancement is an active area of research, our work is the first to apply block pruning to SE and the first to address SE model compression in the context of microNPU's. Using weight pruning, we show that we are able to compress an already compact model's memory footprint by a factor of 42x from 3.7MB to 87kB while only losing 0.1 dB SDR in performance. We also show a computational speedup of 6.7x with a corresponding SDR drop of only 0.59 dB SDR using block pruning.




Abstract:Modern speech enhancement algorithms achieve remarkable noise suppression by means of large recurrent neural networks (RNNs). However, large RNNs limit practical deployment in hearing aid hardware (HW) form-factors, which are battery powered and run on resource-constrained microcontroller units (MCUs) with limited memory capacity and compute capability. In this work, we use model compression techniques to bridge this gap. We define the constraints imposed on the RNN by the HW and describe a method to satisfy them. Although model compression techniques are an active area of research, we are the first to demonstrate their efficacy for RNN speech enhancement, using pruning and integer quantization of weights/activations. We also demonstrate state update skipping, which reduces the computational load. Finally, we conduct a perceptual evaluation of the compressed models to verify audio quality on human raters. Results show a reduction in model size and operations of 11.9$\times$ and 2.9$\times$, respectively, over the baseline for compressed models, without a statistical difference in listening preference and only exhibiting a loss of 0.55dB SDR. Our model achieves a computational latency of 2.39ms, well within the 10ms target and 351$\times$ better than previous work.