



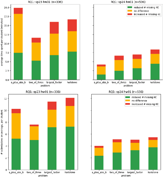
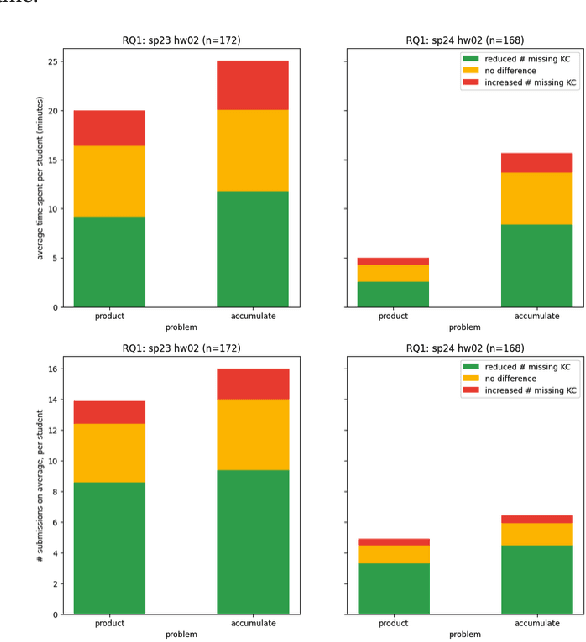
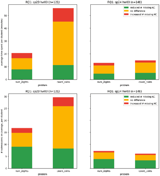
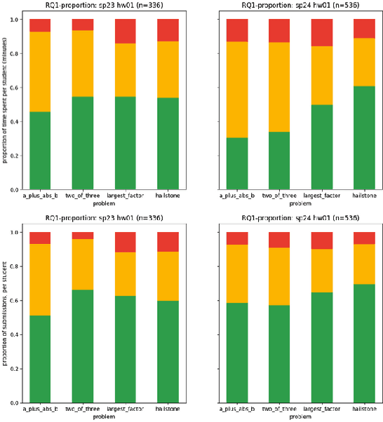
Abstract:We evaluate an automatic hint generator for CS1 programming assignments powered by GPT-4, a large language model. This system provides natural language guidance about how students can improve their incorrect solutions to short programming exercises. A hint can be requested each time a student fails a test case. Our evaluation addresses three Research Questions: RQ1: Do the hints help students improve their code? RQ2: How effectively do the hints capture problems in student code? RQ3: Are the issues that students resolve the same as the issues addressed in the hints? To address these research questions quantitatively, we identified a set of fine-grained knowledge components and determined which ones apply to each exercise, incorrect solution, and generated hint. Comparing data from two large CS1 offerings, we found that access to the hints helps students to address problems with their code more quickly, that hints are able to consistently capture the most pressing errors in students' code, and that hints that address a few issues at once rather than a single bug are more likely to lead to direct student progress.




Abstract:Due to the cumbersome nature of human evaluation and limitations of code-based evaluation, Large Language Models (LLMs) are increasingly being used to assist humans in evaluating LLM outputs. Yet LLM-generated evaluators simply inherit all the problems of the LLMs they evaluate, requiring further human validation. We present a mixed-initiative approach to ``validate the validators'' -- aligning LLM-generated evaluation functions (be it prompts or code) with human requirements. Our interface, EvalGen, provides automated assistance to users in generating evaluation criteria and implementing assertions. While generating candidate implementations (Python functions, LLM grader prompts), EvalGen asks humans to grade a subset of LLM outputs; this feedback is used to select implementations that better align with user grades. A qualitative study finds overall support for EvalGen but underscores the subjectivity and iterative process of alignment. In particular, we identify a phenomenon we dub \emph{criteria drift}: users need criteria to grade outputs, but grading outputs helps users define criteria. What is more, some criteria appears \emph{dependent} on the specific LLM outputs observed (rather than independent criteria that can be defined \emph{a priori}), raising serious questions for approaches that assume the independence of evaluation from observation of model outputs. We present our interface and implementation details, a comparison of our algorithm with a baseline approach, and implications for the design of future LLM evaluation assistants.




Abstract:We use a deep learning based approach to predict whether a selected element in a mobile UI screenshot will be perceived by users as tappable, based on pixels only instead of view hierarchies required by previous work. To help designers better understand model predictions and to provide more actionable design feedback than predictions alone, we additionally use ML interpretability techniques to help explain the output of our model. We use XRAI to highlight areas in the input screenshot that most strongly influence the tappability prediction for the selected region, and use k-Nearest Neighbors to present the most similar mobile UIs from the dataset with opposing influences on tappability perception.