



Abstract:Self-distillation (SD), a technique where a model refines itself from its own predictions, has garnered attention as a simple yet powerful approach in machine learning. Despite its widespread use, the mechanisms underlying its effectiveness remain unclear. In this study, we investigate the efficacy of hyperparameter-tuned multi-stage SD in binary classification tasks with noisy labeled Gaussian mixture data, utilizing a replica theory. Our findings reveals that the primary driver of SD's performance improvement is denoising through hard pseudo-labels, with the most notable gains observed in moderately sized datasets. We also demonstrate the efficacy of practical heuristics, such as early stopping for extracting meaningful signal and bias fixation for imbalanced data. These results provide both theoretical guarantees and practical insights, advancing our understanding and application of SD in noisy settings.




Abstract:This paper examines the quantization methods used in large-scale data analysis models and their hyperparameter choices. The recent surge in data analysis scale has significantly increased computational resource requirements. To address this, quantizing model weights has become a prevalent practice in data analysis applications such as deep learning. Quantization is particularly vital for deploying large models on devices with limited computational resources. However, the selection of quantization hyperparameters, like the number of bits and value range for weight quantization, remains an underexplored area. In this study, we employ the typical case analysis from statistical physics, specifically the replica method, to explore the impact of hyperparameters on the quantization of simple learning models. Our analysis yields three key findings: (i) an unstable hyperparameter phase, known as replica symmetry breaking, occurs with a small number of bits and a large quantization width; (ii) there is an optimal quantization width that minimizes error; and (iii) quantization delays the onset of overparameterization, helping to mitigate overfitting as indicated by the double descent phenomenon. We also discover that non-uniform quantization can enhance stability. Additionally, we develop an approximate message-passing algorithm to validate our theoretical results.




Abstract:We discuss the prediction accuracy of assumed statistical models in terms of prediction errors for the generalized linear model and penalized maximum likelihood methods. We derive the forms of estimators for the prediction errors: $C_p$ criterion, information criteria, and leave-one-out cross validation (LOOCV) error, using the generalized approximate message passing (GAMP) algorithm and replica method. These estimators coincide with each other when the number of model parameters is sufficiently small; however, there is a discrepancy between them in particular in the overparametrized region where the number of model parameters is larger than the data dimension. In this paper, we review the prediction errors and corresponding estimators, and discuss their differences. In the framework of GAMP, we show that the information criteria can be expressed by using the variance of the estimates. Further, we demonstrate how to approach LOOCV error from the information criteria by utilizing the expression provided by GAMP.




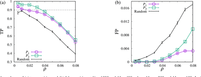
Abstract:In identifying infected patients in a population, group testing is an effective method to reduce the number of tests and correct the test errors. In the group testing procedure, tests are performed on pools of specimens collected from patients, where the number of pools is lower than that of patients. The performance of group testing heavily depends on the design of pools and algorithms that are used in inferring the infected patients from the test outcomes. In this paper, an adaptive design method of pools based on the predictive distribution is proposed in the framework of Bayesian inference. The proposed method executed using the belief propagation algorithm results in more accurate identification of the infected patients, as compared to the group testing performed on random pools determined in advance.




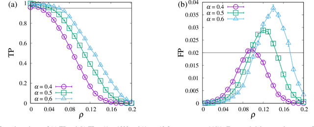
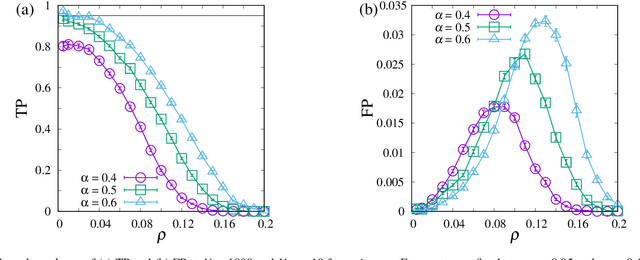
Abstract:Group testing is a method of identifying infected patients by performing tests on a pool of specimens collected from patients. For the case in which the test returns a false result with finite probability, we propose Bayesian inference and a corresponding belief propagation (BP) algorithm to identify the infected patients from the results of tests performed on the pool. We show that the true-positive rate is improved by taking into account the credible interval of a point estimate of each patient. Further, the prevalence and the error probability in the test are estimated by combining an expectation-maximization method with the BP algorithm. As another approach, we introduce a hierarchical Bayes model to identify the infected patients and estimate the prevalence. By comparing these methods, we formulate a guide for practical usage.




Abstract:We investigate the signal reconstruction performance of sparse linear regression in the presence of noise when piecewise continuous nonconvex penalties are used. Among such penalties, we focus on the smoothly clipped absolute deviation (SCAD) penalty. The contributions of this study are three-fold: We first present a theoretical analysis of a typical reconstruction performance, using the replica method, under the assumption that each component of the design matrix is given as an independent and identically distributed (i.i.d.) Gaussian variable. This clarifies the superiority of the SCAD estimator compared with $\ell_1$ in a wide parameter range, although the nonconvex nature of the penalty tends to lead to solution multiplicity in certain regions. This multiplicity is shown to be connected to replica symmetry breaking in the spin-glass theory, and associated phase diagrams are given. We also show that the global minimum of the mean square error between the estimator and the true signal is located in the replica symmetric phase. Second, we develop an approximate formula efficiently computing the cross-validation error without actually conducting the cross-validation, which is also applicable to the non-i.i.d. design matrices. It is shown that this formula is only applicable to the unique solution region and tends to be unstable in the multiple solution region. We implement instability detection procedures, which allows the approximate formula to stand alone and resultantly enables us to draw phase diagrams for any specific dataset. Third, we propose an annealing procedure, called nonconvexity annealing, to obtain the solution path efficiently. Numerical simulations are conducted on simulated datasets to examine these results to verify the consistency of the theoretical results and the efficiency of the approximate formula and nonconvexity annealing.




Abstract:We consider compressed sensing formulated as a minimization problem of nonconvex sparse penalties, Smoothly Clipped Absolute deviation (SCAD) and Minimax Concave Penalty (MCP). The nonconvexity of these penalties is controlled by nonconvexity parameters, and L1 penalty is contained as a limit with respect to these parameters. The analytically derived reconstruction limit overcomes that of L1 and the algorithmic limit in the Bayes-optimal setting, when the nonconvexity parameters have suitable values. For the practical usage, we apply the approximate message passing (AMP) to these nonconvex penalties. We show that the performance of AMP is considerably improved by controlling nonconvexity parameters.




Abstract:We propose an estimator of prediction error using an approximate message passing (AMP) algorithm that can be applied to a broad range of sparse penalties. Following Stein's lemma, the estimator of the generalized degrees of freedom, which is a key quantity for the construction of the estimator of the prediction error, is calculated at the AMP fixed point. The resulting form of the AMP-based estimator does not depend on the penalty function, and its value can be further improved by considering the correlation between predictors. The proposed estimator is asymptotically unbiased when the components of the predictors and response variables are independently generated according to a Gaussian distribution. We examine the behaviour of the estimator for real data under nonconvex sparse penalties, where Akaike's information criterion does not correspond to an unbiased estimator of the prediction error. The model selected by the proposed estimator is close to that which minimizes the true prediction error.




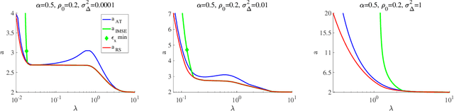
Abstract:We analyse a linear regression problem with nonconvex regularization called smoothly clipped absolute deviation (SCAD) under an overcomplete Gaussian basis for Gaussian random data. We propose an approximate message passing (AMP) algorithm considering nonconvex regularization, namely SCAD-AMP, and analytically show that the stability condition corresponds to the de Almeida--Thouless condition in spin glass literature. Through asymptotic analysis, we show the correspondence between the density evolution of SCAD-AMP and the replica symmetric solution. Numerical experiments confirm that for a sufficiently large system size, SCAD-AMP achieves the optimal performance predicted by the replica method. Through replica analysis, a phase transition between replica symmetric (RS) and replica symmetry breaking (RSB) region is found in the parameter space of SCAD. The appearance of the RS region for a nonconvex penalty is a significant advantage that indicates the region of smooth landscape of the optimization problem. Furthermore, we analytically show that the statistical representation performance of the SCAD penalty is better than that of L1-based methods, and the minimum representation error under RS assumption is obtained at the edge of the RS/RSB phase. The correspondence between the convergence of the existing coordinate descent algorithm and RS/RSB transition is also indicated.




Abstract:We analyse the matrix factorization problem. Given a noisy measurement of a product of two matrices, the problem is to estimate back the original matrices. It arises in many applications such as dictionary learning, blind matrix calibration, sparse principal component analysis, blind source separation, low rank matrix completion, robust principal component analysis or factor analysis. It is also important in machine learning: unsupervised representation learning can often be studied through matrix factorization. We use the tools of statistical mechanics - the cavity and replica methods - to analyze the achievability and computational tractability of the inference problems in the setting of Bayes-optimal inference, which amounts to assuming that the two matrices have random independent elements generated from some known distribution, and this information is available to the inference algorithm. In this setting, we compute the minimal mean-squared-error achievable in principle in any computational time, and the error that can be achieved by an efficient approximate message passing algorithm. The computation is based on the asymptotic state-evolution analysis of the algorithm. The performance that our analysis predicts, both in terms of the achieved mean-squared-error, and in terms of sample complexity, is extremely promising and motivating for a further development of the algorithm.