Abstract:Distributed optimization requires nodes to coordinate, yet full synchronization scales poorly. When $n$ nodes collaborate through $m$ pairwise regularizers, standard methods demand $\mathcal{O}(m)$ communications per iteration. This paper proposes randomized local coordination: each node independently samples one regularizer uniformly and coordinates only with nodes sharing that term. This exploits partial separability, where each regularizer $G_j$ depends on a subset $S_j \subseteq \{1,\ldots,n\}$ of nodes. For graph-guided regularizers where $|S_j|=2$, expected communication drops to exactly 2 messages per iteration. This method achieves $\tilde{\mathcal{O}}(\varepsilon^{-2})$ iterations for convex objectives and under strong convexity, $\mathcal{O}(\varepsilon^{-1})$ to an $\varepsilon$-solution and $\mathcal{O}(\log(1/\varepsilon))$ to a neighborhood. Replacing the proximal map of the sum $\sum_j G_j$ with the proximal map of a single randomly selected regularizer $G_j$ preserves convergence while eliminating global coordination. Experiments validate both convergence rates and communication efficiency across synthetic and real-world datasets.
Abstract:We revisit a classical assumption for analyzing stochastic gradient algorithms where the squared norm of the stochastic subgradient (or the variance for smooth problems) is allowed to grow as fast as the squared norm of the optimization variable. We contextualize this assumption in view of its inception in the 1960s, its seemingly independent appearance in the recent literature, its relationship to weakest-known variance assumptions for analyzing stochastic gradient algorithms, and its relevance in deterministic problems for non-Lipschitz nonsmooth convex optimization. We build on and extend a connection recently made between this assumption and the Halpern iteration. For convex nonsmooth, and potentially stochastic, optimization, we analyze horizon-free, anytime algorithms with last-iterate rates. For problems beyond simple constrained optimization, such as convex problems with functional constraints or regularized convex-concave min-max problems, we obtain rates for optimality measures that do not require boundedness of the feasible set.

Abstract:We propose smoothed primal-dual algorithms for solving stochastic and smooth nonconvex optimization problems with linear inequality constraints. Our algorithms are single-loop and only require a single stochastic gradient based on one sample at each iteration. A distinguishing feature of our algorithm is that it is based on an inexact gradient descent framework for the Moreau envelope, where the gradient of the Moreau envelope is estimated using one step of a stochastic primal-dual augmented Lagrangian method. To handle inequality constraints and stochasticity, we combine the recently established global error bounds in constrained optimization with a Moreau envelope-based analysis of stochastic proximal algorithms. For obtaining $\varepsilon$-stationary points, we establish the optimal $O(\varepsilon^{-4})$ sample complexity guarantee for our algorithms and provide extensions to stochastic linear constraints. We also show how to improve this complexity to $O(\varepsilon^{-3})$ by using variance reduction and the expected smoothness assumption. Unlike existing methods, the iterations of our algorithms are free of subproblems, large batch sizes or increasing penalty parameters and use dual variable updates to ensure feasibility.
Abstract:We focus on constrained, $L$-smooth, nonconvex-nonconcave min-max problems either satisfying $\rho$-cohypomonotonicity or admitting a solution to the $\rho$-weakly Minty Variational Inequality (MVI), where larger values of the parameter $\rho>0$ correspond to a greater degree of nonconvexity. These problem classes include examples in two player reinforcement learning, interaction dominant min-max problems, and certain synthetic test problems on which classical min-max algorithms fail. It has been conjectured that first-order methods can tolerate value of $\rho$ no larger than $\frac{1}{L}$, but existing results in the literature have stagnated at the tighter requirement $\rho < \frac{1}{2L}$. With a simple argument, we obtain optimal or best-known complexity guarantees with cohypomonotonicity or weak MVI conditions for $\rho < \frac{1}{L}$. The algorithms we analyze are inexact variants of Halpern and Krasnosel'ski\u{\i}-Mann (KM) iterations. We also provide algorithms and complexity guarantees in the stochastic case with the same range on $\rho$. Our main insight for the improvements in the convergence analyses is to harness the recently proposed "conic nonexpansiveness" property of operators. As byproducts, we provide a refined analysis for inexact Halpern iteration and propose a stochastic KM iteration with a multilevel Monte Carlo estimator.
Abstract:We analyze the complexity of single-loop quadratic penalty and augmented Lagrangian algorithms for solving nonconvex optimization problems with functional equality constraints. We consider three cases, in all of which the objective is stochastic and smooth, that is, an expectation over an unknown distribution that is accessed by sampling. The nature of the equality constraints differs among the three cases: deterministic and linear in the first case, deterministic, smooth and nonlinear in the second case, and stochastic, smooth and nonlinear in the third case. Variance reduction techniques are used to improve the complexity. To find a point that satisfies $\varepsilon$-approximate first-order conditions, we require $\widetilde{O}(\varepsilon^{-3})$ complexity in the first case, $\widetilde{O}(\varepsilon^{-4})$ in the second case, and $\widetilde{O}(\varepsilon^{-5})$ in the third case. For the first and third cases, they are the first algorithms of "single loop" type (that also use $O(1)$ samples at each iteration) that still achieve the best-known complexity guarantees.

Abstract:Machine learning approaches relying on such criteria as adversarial robustness or multi-agent settings have raised the need for solving game-theoretic equilibrium problems. Of particular relevance to these applications are methods targeting finite-sum structure, which generically arises in empirical variants of learning problems in these contexts. Further, methods with computable approximation errors are highly desirable, as they provide verifiable exit criteria. Motivated by these applications, we study finite-sum monotone inclusion problems, which model broad classes of equilibrium problems. Our main contributions are variants of the classical Halpern iteration that employ variance reduction to obtain improved complexity guarantees in which $n$ component operators in the finite sum are ``on average'' either cocoercive or Lipschitz continuous and monotone, with parameter $L$. The resulting oracle complexity of our methods, which provide guarantees for the last iterate and for a (computable) operator norm residual, is $\widetilde{\mathcal{O}}( n + \sqrt{n}L\varepsilon^{-1})$, which improves upon existing methods by a factor up to $\sqrt{n}$. This constitutes the first variance reduction-type result for general finite-sum monotone inclusions and for more specific problems such as convex-concave optimization when operator norm residual is the optimality measure. We further argue that, up to poly-logarithmic factors, this complexity is unimprovable in the monotone Lipschitz setting; i.e., the provided result is near-optimal.




Abstract:We improve the understanding of the $\textit{golden ratio algorithm}$, which solves monotone variational inequalities (VI) and convex-concave min-max problems via the distinctive feature of adapting the step sizes to the local Lipschitz constants. Adaptive step sizes not only eliminate the need to pick hyperparameters, but they also remove the necessity of global Lipschitz continuity and can increase from one iteration to the next. We first establish the equivalence of this algorithm with popular VI methods such as reflected gradient, Popov or optimistic gradient descent-ascent in the unconstrained case with constant step sizes. We then move on to the constrained setting and introduce a new analysis that allows to use larger step sizes, to complete the bridge between the golden ratio algorithm and the existing algorithms in the literature. Doing so, we actually eliminate the link between the golden ratio $\frac{1+\sqrt{5}}{2}$ and the algorithm. Moreover, we improve the adaptive version of the algorithm, first by removing the maximum step size hyperparameter (an artifact from the analysis) to improve the complexity bound, and second by adjusting it to nonmonotone problems with weak Minty solutions, with superior empirical performance.

Abstract:We show that under a general dependent data sampling scheme, the classical stochastic projected and proximal subgradient methods for weakly convex functions have worst-case rate of convergence $\tilde{O}(n^{-1/4})$ and complexity $\tilde{O}(\varepsilon^{-4})$ for achieving an $\varepsilon$-near stationary point in terms of the norm of the gradient of Moreau envelope. While classical convergence guarantee requires i.i.d. data sampling from the target distribution, we only require a mild mixing condition of the conditional distribution, which holds for a wide class of Markov chain sampling algorithms. This improves the existing complexity for the specific case of constrained smooth nonconvex optimization with dependent data from $\tilde{O}(\varepsilon^{-8})$ to $\tilde{O}(\varepsilon^{-4})$ with a significantly simpler analysis. We illustrate the generality of our approach by deriving convergence results with dependent data for adaptive stochastic subgradient algorithm AdaGrad and stochastic subgradient algorithm with heavy ball momentum. As an application, we obtain first online nonnegative matrix factorization algorithms for dependent data based on stochastic projected gradient methods with adaptive step sizes with optimal rate of convergence guarantee.


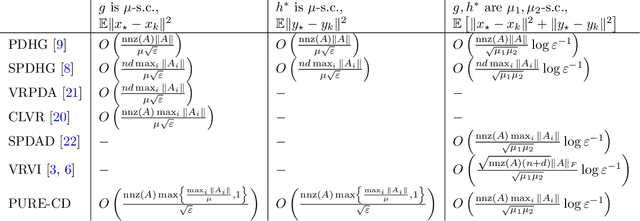
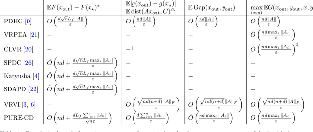
Abstract:We prove complexity bounds for the primal-dual algorithm with random extrapolation and coordinate descent (PURE-CD), which has been shown to obtain good practical performance for solving convex-concave min-max problems with bilinear coupling. Our complexity bounds either match or improve the best-known results in the literature for both dense and sparse (strongly)-convex-(strongly)-concave problems.




Abstract:We propose stochastic variance reduced algorithms for solving convex-concave saddle point problems, monotone variational inequalities, and monotone inclusions. Our framework applies to extragradient, forward-backward-forward, and forward-reflected-backward methods both in Euclidean and Bregman setups. All proposed methods converge in exactly the same setting as their deterministic counterparts and they either match or improve the best-known complexities for solving structured min-max problems. Our results reinforce the correspondence between variance reduction in variational inequalities and minimization. We also illustrate the improvements of our approach with numerical evaluations on matrix games.