



Abstract:Although recent advances in scaling large language models (LLMs) have resulted in improvements on many NLP tasks, it remains unclear whether these models trained primarily with general web text are the right tool in highly specialized, safety critical domains such as clinical text. Recent results have suggested that LLMs encode a surprising amount of medical knowledge. This raises an important question regarding the utility of smaller domain-specific language models. With the success of general-domain LLMs, is there still a need for specialized clinical models? To investigate this question, we conduct an extensive empirical analysis of 12 language models, ranging from 220M to 175B parameters, measuring their performance on 3 different clinical tasks that test their ability to parse and reason over electronic health records. As part of our experiments, we train T5-Base and T5-Large models from scratch on clinical notes from MIMIC III and IV to directly investigate the efficiency of clinical tokens. We show that relatively small specialized clinical models substantially outperform all in-context learning approaches, even when finetuned on limited annotated data. Further, we find that pretraining on clinical tokens allows for smaller, more parameter-efficient models that either match or outperform much larger language models trained on general text. We release the code and the models used under the PhysioNet Credentialed Health Data license and data use agreement.




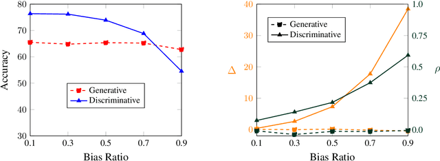
Abstract:Many natural language inference (NLI) datasets contain biases that allow models to perform well by only using a biased subset of the input, without considering the remainder features. For instance, models are able to make a classification decision by only using the hypothesis, without learning the true relationship between it and the premise. These structural biases lead discriminative models to learn unintended superficial features and to generalize poorly out of the training distribution. In this work, we reformulate the NLI task as a generative task, where a model is conditioned on the biased subset of the input and the label and generates the remaining subset of the input. We show that by imposing a uniform prior, we obtain a provably unbiased model. Through synthetic experiments, we find that this approach is highly robust to large amounts of bias. We then demonstrate empirically on two types of natural bias that this approach leads to fully unbiased models in practice. However, we find that generative models are difficult to train and they generally perform worse than discriminative baselines. We highlight the difficulty of the generative modeling task in the context of NLI as a cause for this worse performance. Finally, by fine-tuning the generative model with a discriminative objective, we reduce the performance gap between the generative model and the discriminative baseline, while allowing for a small amount of bias.