Abstract:The Abstraction and Reasoning Corpus (ARC) provides a compact laboratory for studying abstract reasoning, an ability central to human intelligence. Modern AI systems, including LLMs and ViTs, largely operate as sequence-of-behavior prediction machines: they match observable behaviors by modeling token statistics without a persistent, readable mental state. This creates a gap with human-like behavior: humans can explain an action by decoding internal state, while AI systems can produce fluent post-hoc rationalizations that are not grounded in such a state. We hypothesize that reasoning is a modality: reasoning should exist as a distinct channel separate from the low-level workspace on which rules are applied. To test this hypothesis, on solving ARC tasks as a visual reasoning problem, we designed a novel role-separated transformer block that splits global controller tokens from grid workspace tokens, enabling iterative rule execution. Trained and evaluated within the VARC vision-centric protocol, our method achieved 62.6% accuracy on ARC-1, surpassing average human performance (60.2%) and outperforming prior methods significantly. Qualitatively, our models exhibit more coherent rule-application structure than the dense ViT baseline, consistent with a shift away from plausible probability blobs toward controller-driven reasoning.




Abstract:Conventional online surveys provide limited personalization, often resulting in low engagement and superficial responses. Although AI survey chatbots improve convenience, most are still reactive: they rely on fixed dialogue trees or static prompt templates and therefore cannot adapt within a session to fit individual users, which leads to generic follow-ups and weak response quality. We address these limitations with AURA (Adaptive Understanding through Reinforcement Learning for Assessment), a reinforcement learning framework for AI-driven adaptive conversational surveys. AURA quantifies response quality using a four-dimensional LSDE metric (Length, Self-disclosure, Emotion, and Specificity) and selects follow-up question types via an epsilon-greedy policy that updates the expected quality gain within each session. Initialized with priors extracted from 96 prior campus-climate conversations (467 total chatbot-user exchanges), the system balances exploration and exploitation across 10-15 dialogue exchanges, dynamically adapting to individual participants in real time. In controlled evaluations, AURA achieved a +0.12 mean gain in response quality and a statistically significant improvement over non-adaptive baselines (p=0.044, d=0.66), driven by a 63% reduction in specification prompts and a 10x increase in validation behavior. These results demonstrate that reinforcement learning can give survey chatbots improved adaptivity, transforming static questionnaires into interactive, self-improving assessment systems.




Abstract:Recent advancements in NLP have spurred significant interest in analyzing social media text data for identifying linguistic features indicative of mental health issues. However, the domain of Expressive Narrative Stories (ENS)-deeply personal and emotionally charged narratives that offer rich psychological insights-remains underexplored. This study bridges this gap by utilizing a dataset sourced from Reddit, focusing on ENS from individuals with and without self-declared depression. Our research evaluates the utility of advanced language models, BERT and MentalBERT, against traditional models. We find that traditional models are sensitive to the absence of explicit topic-related words, which could risk their potential to extend applications to ENS that lack clear mental health terminology. Despite MentalBERT is design to better handle psychiatric contexts, it demonstrated a dependency on specific topic words for classification accuracy, raising concerns about its application when explicit mental health terms are sparse (P-value<0.05). In contrast, BERT exhibited minimal sensitivity to the absence of topic words in ENS, suggesting its superior capability to understand deeper linguistic features, making it more effective for real-world applications. Both BERT and MentalBERT excel at recognizing linguistic nuances and maintaining classification accuracy even when narrative order is disrupted. This resilience is statistically significant, with sentence shuffling showing substantial impacts on model performance (P-value<0.05), especially evident in ENS comparisons between individuals with and without mental health declarations. These findings underscore the importance of exploring ENS for deeper insights into mental health-related narratives, advocating for a nuanced approach to mental health text analysis that moves beyond mere keyword detection.




Abstract:Mental health issues significantly impact individuals' daily lives, yet many do not receive the help they need even with available online resources. This study aims to provide diverse, accessible, stigma-free, personalized, and real-time mental health support through cutting-edge AI technologies. It makes the following contributions: (1) Conducting an extensive survey of recent mental health support methods to identify prevalent functionalities and unmet needs. (2) Introducing SouLLMate, an adaptive LLM-driven system that integrates LLM technologies, Chain, Retrieval-Augmented Generation (RAG), prompt engineering, and domain knowledge. This system offers advanced features such as Risk Detection and Proactive Guidance Dialogue, and utilizes RAG for personalized profile uploads and Conversational Information Extraction. (3) Developing novel evaluation approaches for preliminary assessments and risk detection via professionally annotated interview data and real-life suicide tendency data. (4) Proposing the Key Indicator Summarization (KIS), Proactive Questioning Strategy (PQS), and Stacked Multi-Model Reasoning (SMMR) methods to enhance model performance and usability through context-sensitive response adjustments, semantic coherence evaluations, and enhanced accuracy of long-context reasoning in language models. This study contributes to advancing mental health support technologies, potentially improving the accessibility and effectiveness of mental health care globally.




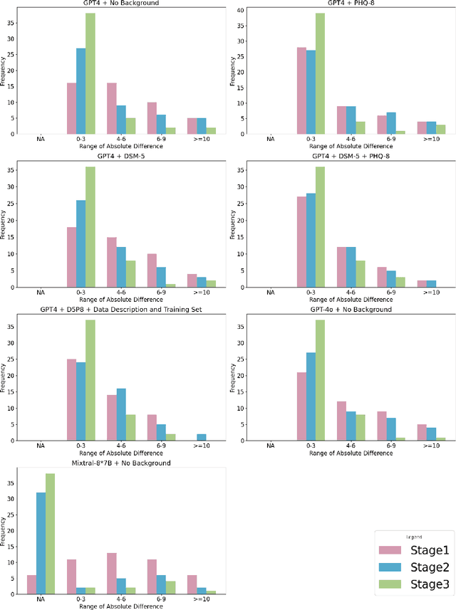
Abstract:This study introduces 'Psycho Analyst', a custom GPT model based on OpenAI's GPT-4, optimized for pre-screening mental health disorders. Enhanced with DSM-5, PHQ-8, detailed data descriptions, and extensive training data, the model adeptly decodes nuanced linguistic indicators of mental health disorders. It utilizes a dual-task framework that includes binary classification and a three-stage PHQ-8 score computation involving initial assessment, detailed breakdown, and independent assessment, showcasing refined analytic capabilities. Validation with the DAIC-WOZ dataset reveals F1 and Macro-F1 scores of 0.929 and 0.949, respectively, along with the lowest MAE and RMSE of 2.89 and 3.69 in PHQ-8 scoring. These results highlight the model's precision and transformative potential in enhancing public mental health support, improving accessibility, cost-effectiveness, and serving as a second opinion for professionals.




Abstract:Object detection in remote sensing, especially in aerial images, remains a challenging problem due to low image resolution, complex backgrounds, and variation of scale and angles of objects in images. In current implementations, multi-scale based and angle-based networks have been proposed and generate promising results with aerial image detection. In this paper, we propose a novel loss function, called Salience Biased Loss (SBL), for deep neural networks, which uses salience information of the input image to achieve improved performance for object detection. Our novel loss function treats training examples differently based on input complexity in order to avoid the over-contribution of easy cases in the training process. In our experiments, RetinaNet was trained with SBL to generate an one-stage detector, SBL-RetinaNet. SBL-RetinaNet is applied to the largest existing public aerial image dataset, DOTA. Experimental results show our proposed loss function with the RetinaNet architecture outperformed other state-of-art object detection models by at least 4.31 mAP, and RetinaNet by 2.26 mAP with the same inference speed of RetinaNet.




Abstract:Motivation: Protein secondary structure prediction can provide important information for protein 3D structure prediction and protein functions. Deep learning, which has been successfully applied to various research fields such as image classification and voice recognition, provides a new opportunity to significantly improve the secondary structure prediction accuracy. Although several deep-learning methods have been developed for secondary structure prediction, there is room for improvement. MUFold-SS was developed to address these issues. Results: Here, a very deep neural network, the deep inception-inside-inception networks (Deep3I), is proposed for protein secondary structure prediction and a software tool was implemented using this network. This network takes two inputs: a protein sequence and a profile generated by PSI-BLAST. The output is the predicted eight states (Q8) or three states (Q3) of secondary structures. The proposed Deep3I not only achieves the state-of-the-art performance but also runs faster than other tools. Deep3I achieves Q3 82.8% and Q8 71.1% accuracies on the CB513 benchmark.