



Abstract:This paper investigates uplink transmission from a single-antenna mobile phone to a cluster of satellites, emphasizing the role of inter-satellite links (ISLs) in facilitating cooperative signal detection. The study focuses on non-ideal ISLs, examining both terahertz (THz) and free-space optical (FSO) ISLs concerning their ergodic capacity. We present a practical scenario derived from the recent 3GPP standard, specifying the frequency band, bandwidth, user and satellite antenna gains, power levels, and channel characteristics in alignment with the latest 3GPP for non-terrestrial networks (NTN). Additionally, we propose a satellite selection method to identify the optimal satellite as the master node (MN), responsible for signal processing. This method takes into account both the user-satellite link and ISL channels. For the THz ISL analysis, we derive a closed-form approximation for ergodic capacity under two scenarios: one with instantaneous channel state information (CSI) and another with only statistical CSI shared between satellites. For the FSO ISL analysis, we present a closed-form approximate upper bound for ergodic capacity, accounting for the impact of pointing error loss. Furthermore, we evaluate the effects of different ISL frequencies and pointing errors on spectral efficiency. Simulation results demonstrate that multi-satellite multiple-input multiple-output (MIMO) satellite communication (SatCom) significantly outperforms single-satellite SatCom in terms of spectral efficiency. Additionally, our approximated upper bound for ergodic capacity closely aligns with results obtained from Monte Carlo simulations.




Abstract:The integration of low earth orbit (LEO) satellites with terrestrial communication networks holds the promise of seamless global connectivity. The efficiency of this connection, however, depends on the availability of reliable channel state information (CSI). Due to the large space-ground propagation delays, the estimated CSI is outdated. In this paper we consider the downlink of a satellite operating as a base station in support of multiple mobile users. The estimated outdated CSI is used at the satellite side to design a transmit precoding (TPC) matrix for the downlink. We propose a deep reinforcement learning (DRL)-based approach to optimize the TPC matrices, with the goal of maximizing the achievable data rate. We utilize the deep deterministic policy gradient (DDPG) algorithm to handle the continuous action space, and we employ state augmentation techniques to deal with the delayed observations and rewards. We show that the DRL agent is capable of exploiting the time-domain correlations of the channels for constructing accurate TPC matrices. This is because the proposed method is capable of compensating for the effects of delayed CSI in different frequency bands. Furthermore, we study the effect of handovers in the system, and show that the DRL agent is capable of promptly adapting to the environment when a handover occurs.




Abstract:Advancements in satellite technology have made direct-to-device connectivity a viable solution for ensuring global access. This method is designed to provide internet connectivity to remote, rural, or underserved areas where traditional cellular or broadband networks are lacking or insufficient. This paper is a survey providing an in-depth review of multi-satellite Multiple Input Multiple Output (MIMO) systems as a potential solution for addressing the link budget challenge in direct user-satellite communication. Special attention is given to works considering multi-satellite MIMO systems, both with and without satellite collaboration. In this context, collaboration refers to sharing data between satellites to improve the performance of the system. This survey begins by explaining several fundamental aspects of satellite communications (SatComs), which are vital prerequisites before investigating the multi-satellite MIMO systems. These aspects encompass satellite orbits, the structure of satellite systems, SatCom links, including the inter-satellite links (ISL) which facilitate satellite cooperation, satellite frequency bands, satellite antenna design, and satellite channel models, which should be known or estimated for effective data transmission to and from multiple satellites. Furthermore, this survey distinguishes itself by providing more comprehensive insights in comparison to other surveys. It specifically delves into the Orthogonal Time Frequency Space (OTFS) within the channel model section. It goes into detail about ISL noise and channel models, and it extends the ISL section by thoroughly investigating hybrid FSO/RF ISLs. Furthermore, analytical comparisons of simulation results from these works are presented to highlight the advantages of employing multi-satellite MIMO systems.




Abstract:In this study, we explore the integration of satellites with ground-based communication networks. Specifically, we analyze downlink data transmission from a constellation of satellites to terrestrial users and address the issue of delayed channel state information (CSI). The satellites cooperate in data transmission within a cluster to create a unified, distributed massive multiple input, multiple output (MIMO) system. The CSI used for this process is inherently outdated, particularly due to the delay from the most distant satellite in the cluster. Therefore, in this paper, we develop a precoding strategy that leverages the long-term characteristics of CSI uncertainty to compensate for the undesirable impact of these unavoidable delays. Our proposed method is computationally efficient and particularly effective in lower frequency bands. As such, it holds significant promise for facilitating the integration of satellite and terrestrial communication, especially within frequency bands of up to 1 GHz.
Abstract:This paper examines the uplink transmission of a single-antenna handsheld user to a cluster of satellites, with a focus on utilizing the inter-satellite links to enable cooperative signal detection. Two cases are studied: one with full CSI and the other with partial CSI between satellites. The two cases are compared in terms of capacity, overhead, and bit error rate. Additionally, the impact of channel estimation error is analyzed in both designs, and robust detection techniques are proposed to handle channel uncertainty up to a certain level. The performance of each case is demonstrated, and a comparison is made with conventional satellite communication schemes where only one satellite can connect to a user. The results of our study reveal that the proposed constellation with a total of 3168 satellites in orbit can enable a capacity of 800 Mbits/sec through cooperation of $12$ satellites with and occupied bandwidth of 500 MHz. In contrast, conventional satellite communication approaches with the same system parameters yield a significantly lower capacity of less than 150 Mbits/sec for the nearest satellite.




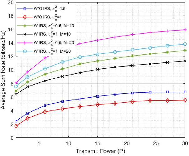
Abstract:Intelligent reflecting surface (IRS) as a promising technology rendering high throughput in future communication systems is compatible with various communication techniques such as non-orthogonal multiple-access (NOMA). In this paper, the downlink transmission of IRS-assisted NOMA communication is considered while undergoing imperfect channel state information (CSI). Consequently, a robust IRS-aided NOMA design is proposed by solving the sum-rate maximization problem to jointly find the optimal beamforming vectors for the access point and the passive reflection matrix for the IRS, using the penalty dual decomposition (PDD) scheme. This problem can be solved through an iterative algorithm, with closed-form solutions in each step, and it is shown to have very close performance to its upper bound obtained from perfect CSI scenario. We also present a trellis-based method for optimal discrete phase shift selection of IRS which is shown to outperform the conventional quantization method. Our results show that the proposed algorithms, for both continuous and discrete IRS, have very low computational complexity compared to other schemes in the literature. Furthermore, we conduct a performance comparison from achievable sum-rate standpoint between IRS-aided NOMA and IRS-aided orthogonal multiple access (OMA), which demonstrates superiority of NOMA compared to OMA in case of a tolerated channel uncertainty.



Abstract:In this paper, the problem of pilot contamination in a multi-cell massive multiple input multiple output (M-MIMO) system is addressed using deep reinforcement learning (DRL). To this end, a pilot assignment strategy is designed that adapts to the channel variations while maintaining a tolerable pilot contamination effect. Using the angle of arrival (AoA) information of the users, a cost function, portraying the reward, is presented, defining the pilot contamination effects in the system. Numerical results illustrate that the DRL-based scheme is able to track the changes in the environment, learn the near-optimal pilot assignment, and achieve a close performance to that of the optimum pilot assignment performed by exhaustive search, while maintaining a low computational complexity.