



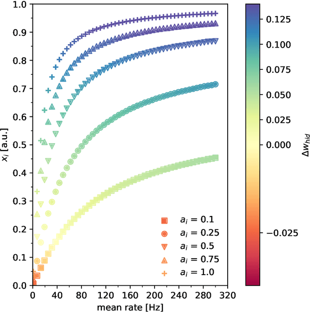
Abstract:Understanding how biological neural networks are shaped via local plasticity mechanisms can lead to energy-efficient and self-adaptive information processing systems, which promises to mitigate some of the current roadblocks in edge computing systems. While biology makes use of spikes to seamless use both spike timing and mean firing rate to modulate synaptic strength, most models focus on one of the two. In this work, we present a Hebbian local learning rule that models synaptic modification as a function of calcium traces tracking neuronal activity. We show how the rule reproduces results from spike time and spike rate protocols from neuroscientific studies. Moreover, we use the model to train spiking neural networks on MNIST digit recognition to show and explain what sort of mechanisms are needed to learn real-world patterns. We show how our model is sensitive to correlated spiking activity and how this enables it to modulate the learning rate of the network without altering the mean firing rate of the neurons nor the hyparameters of the learning rule. To the best of our knowledge, this is the first work that showcases how spike timing and rate can be complementary in their role of shaping the connectivity of spiking neural networks.




Abstract:Event-driven sensors, which produce data only when there is a change in the input signal, are increasingly used in applications that require low-latency and low-power real-time sensing, such as robotics and edge devices. To fully achieve the latency and power advantages on offer however, similarly event-driven data processing methods are required. A promising solution is the TDE: an event-based processing element which encodes the time difference between events on different channels into an output event stream. In this work we introduce a novel TDE implementation on CMOS. The circuit is robust to device mismatch and allows the linear integration of input events. This is crucial for enabling a high-density implementation of many TDEs on the same die, and for realising real-time parallel processing of the high-event-rate data produced by event-driven sensors.




Abstract:Recent advances in memory technologies, devices and materials have shown great potential for integration into neuromorphic electronic systems. However, a significant gap remains between the development of these materials and the realization of large-scale, fully functional systems. One key challenge is determining which devices and materials are best suited for specific functions and how they can be paired with CMOS circuitry. To address this, we introduce TEXEL, a mixed-signal neuromorphic architecture designed to explore the integration of on-chip learning circuits and novel two- and three-terminal devices. TEXEL serves as an accessible platform to bridge the gap between CMOS-based neuromorphic computation and the latest advancements in emerging devices. In this paper, we demonstrate the readiness of TEXEL for device integration through comprehensive chip measurements and simulations. TEXEL provides a practical system for testing bio-inspired learning algorithms alongside emerging devices, establishing a tangible link between brain-inspired computation and cutting-edge device research.