



Abstract:Data augmentation is an important component in the robustness evaluation of models in natural language processing (NLP) and in enhancing the diversity of the data they are trained on. In this paper, we present NL-Augmenter, a new participatory Python-based natural language augmentation framework which supports the creation of both transformations (modifications to the data) and filters (data splits according to specific features). We describe the framework and an initial set of 117 transformations and 23 filters for a variety of natural language tasks. We demonstrate the efficacy of NL-Augmenter by using several of its transformations to analyze the robustness of popular natural language models. The infrastructure, datacards and robustness analysis results are available publicly on the NL-Augmenter repository (\url{https://github.com/GEM-benchmark/NL-Augmenter}).
Abstract:African languages still lag in the advances of Natural Language Processing techniques, one reason being the lack of representative data, having a technique that can transfer information between languages can help mitigate against the lack of data problem. This paper trains Setswana and Sepedi monolingual word vectors and uses VecMap to create cross-lingual embeddings for Setswana-Sepedi in order to do a cross-lingual transfer. Word embeddings are word vectors that represent words as continuous floating numbers where semantically similar words are mapped to nearby points in n-dimensional space. The idea of word embeddings is based on the distribution hypothesis that states, semantically similar words are distributed in similar contexts (Harris, 1954). Cross-lingual embeddings leverages monolingual embeddings by learning a shared vector space for two separately trained monolingual vectors such that words with similar meaning are represented by similar vectors. In this paper, we investigate cross-lingual embeddings for Setswana-Sepedi monolingual word vector. We use the unsupervised cross lingual embeddings in VecMap to train the Setswana-Sepedi cross-language word embeddings. We evaluate the quality of the Setswana-Sepedi cross-lingual word representation using a semantic evaluation task. For the semantic similarity task, we translated the WordSim and SimLex tasks into Setswana and Sepedi. We release this dataset as part of this work for other researchers. We evaluate the intrinsic quality of the embeddings to determine if there is improvement in the semantic representation of the word embeddings.


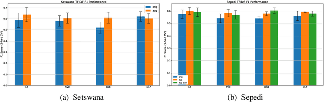
Abstract:The recent advances in Natural Language Processing have only been a boon for well represented languages, negating research in lesser known global languages. This is in part due to the availability of curated data and research resources. One of the current challenges concerning low-resourced languages are clear guidelines on the collection, curation and preparation of datasets for different use-cases. In this work, we take on the task of creating two datasets that are focused on news headlines (i.e short text) for Setswana and Sepedi and the creation of a news topic classification task from these datasets. In this study, we document our work, propose baselines for classification, and investigate an approach on data augmentation better suited to low-resourced languages in order to improve the performance of the classifiers.




Abstract:The recent advances in Natural Language Processing have been a boon for well-represented languages in terms of available curated data and research resources. One of the challenges for low-resourced languages is clear guidelines on the collection, curation and preparation of datasets for different use-cases. In this work, we take on the task of creation of two datasets that are focused on news headlines (i.e short text) for Setswana and Sepedi and creation of a news topic classification task. We document our work and also present baselines for classification. We investigate an approach on data augmentation, better suited to low resource languages, to improve the performance of the classifiers




Abstract:We study the effect of different approaches to text augmentation. To do this we use 3 datasets that include social media and formal text in the form of news articles. Our goal is to provide insights for practitioners and researchers on making choices for augmentation for classification use cases. We observe that Word2vec-based augmentation is a viable option when one does not have access to a formal synonym model (like WordNet-based augmentation). The use of \emph{mixup} further improves performance of all text based augmentations and reduces the effects of overfitting on a tested deep learning model. Round-trip translation with a translation service proves to be harder to use due to cost and as such is less accessible for both normal and low resource use-cases.