



Abstract:Students' decisions on whether to take a class are strongly affected by whether their friends plan to take the class with them. A student may prefer to be assigned to a course they likes less, just to be with their friends, rather than taking a more preferred class alone. It has been shown that taking classes with friends positively affects academic performance. Thus, academic institutes should prioritize friendship relations when assigning course seats. The introduction of friendship relations results in several non-trivial changes to current course allocation methods. This paper explores how course allocation mechanisms can account for friendships between students and provide a unique, distributed solution. In particular, we model the problem as an asymmetric distributed constraint optimization problem and develop a new dedicated algorithm. Our extensive evaluation includes both simulated data and data derived from a user study on 177 students' preferences over courses and friends. The results show that our algorithm obtains high utility for the students while keeping the solution fair and observing courses' seat capacity limitations.
Abstract:We present an efficient algorithm that, given a discrete random variable $X$ and a number $m$, computes a random variable whose support is of size at most $m$ and whose Kolmogorov distance from $X$ is minimal, also for the one-sided Kolmogorov approximation. We present some variants of the algorithm, analyse their correctness and computational complexity, and present a detailed empirical evaluation that shows how they performs in practice. The main application that we examine, which is our motivation for this work, is estimation of the probability missing deadlines in series-parallel schedules. Since exact computation of these probabilities is NP-hard, we propose to use the algorithms described in this paper to obtain an approximation.




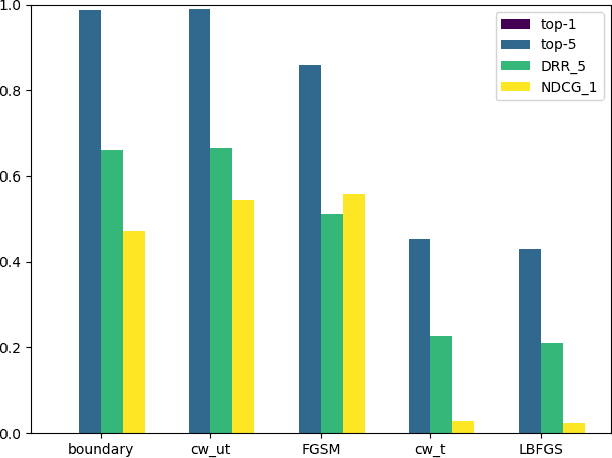
Abstract:The problem of attacks on neural networks through input modification (i.e., adversarial examples) has attracted much attention recently. Being relatively easy to generate and hard to detect, these attacks pose a security breach that many suggested defenses try to mitigate. However, the evaluation of the effect of attacks and defenses commonly relies on traditional classification metrics, without adequate adaptation to adversarial scenarios. Most of these metrics are accuracy-based, and therefore may have a limited scope and low distinctive power. Other metrics do not consider the unique characteristics of neural networks functionality, or measure the effect of the attacks indirectly (e.g., through the complexity of their generation). In this paper, we present two metrics which are specifically designed to measure the effect of attacks, or the recovery effect of defenses, on the output of neural networks in multiclass classification tasks. Inspired by the normalized discounted cumulative gain and the reciprocal rank metrics used in information retrieval literature, we treat the neural network predictions as ranked lists of results. Using additional information about the probability of the rank enabled us to define novel metrics that are suited to the task at hand. We evaluate our metrics using various attacks and defenses on a pretrained VGG19 model and the ImageNet dataset. Compared to the common classification metrics, our proposed metrics demonstrate superior informativeness and distinctiveness.




Abstract:The growing incorporation of artificial neural networks (NNs) into many fields, and especially into life-critical systems, is restrained by their vulnerability to adversarial examples (AEs). Some existing defense methods can increase NNs' robustness, but they often require special architecture or training procedures and are irrelevant to already trained models. In this paper, we propose a simple defense that combines feature visualization with input modification, and can, therefore, be applicable to various pre-trained networks. By reviewing several interpretability methods, we gain new insights regarding the influence of AEs on NNs' computation. Based on that, we hypothesize that information about the "true" object is preserved within the NN's activity, even when the input is adversarial, and present a feature visualization version that can extract that information in the form of relevance heatmaps. We then use these heatmaps as a basis for our defense, in which the adversarial effects are corrupted by massive blurring. We also provide a new evaluation metric that can capture the effects of both attacks and defenses more thoroughly and descriptively, and demonstrate the effectiveness of the defense and the utility of the suggested evaluation measurement with VGG19 results on the ImageNet dataset.



Abstract:The research on coalitional games has focused on how to share the reward among a coalition such that players are incentivised to collaborate together. It assumes that the (deterministic or stochastic) characteristic function is known in advance. This paper studies a new setting (a task allocation problem) where the characteristic function is not known and it is controlled by some private information from the players. Hence, the challenge here is twofold: (i) incentivize players to reveal their private information truthfully, (ii) incentivize them to collaborate together. We show that existing reward distribution mechanisms or auctions cannot solve the challenge. Hence, we propose the very first mechanism for the problem from the perspective of both mechanism design and coalitional games.




Abstract:Distributed Constraint Optimization (DCOP) is a powerful framework for representing and solving distributed combinatorial problems, where the variables of the problem are owned by different agents. Many multi-agent problems include constraints that produce different gains (or costs) for the participating agents. Asymmetric gains of constrained agents cannot be naturally represented by the standard DCOP model. The present paper proposes a general framework for Asymmetric DCOPs (ADCOPs). In ADCOPs different agents may have different valuations for constraints that they are involved in. The new framework bridges the gap between multi-agent problems which tend to have asymmetric structure and the standard symmetric DCOP model. The benefits of the proposed model over previous attempts to generalize the DCOP model are discussed and evaluated. Innovative algorithms that apply to the special properties of the proposed ADCOP model are presented in detail. These include complete algorithms that have a substantial advantage in terms of runtime and network load over existing algorithms (for standard DCOPs) which use alternative representations. Moreover, standard incomplete algorithms (i.e., local search algorithms) are inapplicable to the existing DCOP representations of asymmetric constraints and when they are applied to the new ADCOP framework they often fail to converge to a local optimum and yield poor results. The local search algorithms proposed in the present paper converge to high quality solutions. The experimental evidence that is presented reveals that the proposed local search algorithms for ADCOPs achieve high quality solutions while preserving a high level of privacy.




Abstract:Asynchronous Partial Overlay (APO) is a search algorithm that uses cooperative mediation to solve Distributed Constraint Satisfaction Problems (DisCSPs). The algorithm partitions the search into different subproblems of the DisCSP. The original proof of completeness of the APO algorithm is based on the growth of the size of the subproblems. The present paper demonstrates that this expected growth of subproblems does not occur in some situations, leading to a termination problem of the algorithm. The problematic parts in the APO algorithm that interfere with its completeness are identified and necessary modifications to the algorithm that fix these problematic parts are given. The resulting version of the algorithm, Complete Asynchronous Partial Overlay (CompAPO), ensures its completeness. Formal proofs for the soundness and completeness of CompAPO are given. A detailed performance evaluation of CompAPO comparing it to other DisCSP algorithms is presented, along with an extensive experimental evaluation of the algorithm's unique behavior. Additionally, an optimization version of the algorithm, CompOptAPO, is presented, discussed, and evaluated.