



Abstract:This paper provides an overview of the diverse range of applications and use cases for Single-Channel Full-Duplex (SCFD) techniques within the field of satellite communication. SCFD, allowing simultaneous transmission and reception on a single frequency channel, presents a transformative approach to enhancing satellite communication systems. We select eight potential use cases with the objective of highlighting the substantial potential of SCFD techniques in revolutionizing SatCom across a multitude of critical domains. In addition, preliminary results from the qualitative assessment are shown. This work is carried out within the European Space Agency (ESA) ongoing activity FDSAT: Single Channel Full Duplex Techniques for Satellite Communications.




Abstract:In this paper, we tackle the problem of joint symbol level precoding (SLP) and reconfigurable intelligent surface (RIS) phase shift design with constellation rotation in the finite block length regime. We aim to increase energy efficiency by minimizing the total transmit power while satisfying the quality of service constraints. The total power consumption can be significantly minimized through the exploitation of multiuser interference by symbol level precoding and by the intelligent manipulation of the propagation environment using reconfigurable intelligent surfaces. In addition, the constellation rotation per user contributes to energy efficiency by aligning the symbol phases of the users, thus improving the utilization of constructive interference. The formulated power minimization problem is non-convex and correspondingly difficult to solve directly. Hence, we employ an alternating optimization algorithm to tackle the joint optimization of SLP and RIS phase shift design. The optimal phase of each user's constellation rotation is obtained via an exhaustive search algorithm. Through Monte-Carlo simulation results, we demonstrate that the proposed solution yields substantial power minimization as compared to conventional SLP, zero forcing precoding with RIS as well as the benchmark schemes without RIS.




Abstract:To allow flexible and cost-efficient network densification and deployment, the integrated access and backhaul (IAB) was recently standardized by the third generation partnership project (3GPP) as part of the fifth-generation new radio (5G-NR) networks. However, the current standardization only defines the IAB for the terrestrial domain, while non-terrestrial networks (NTNs) are yet to be considered for such standardization efforts. In this work, we motivate the use of IAB in NTNs, and we discuss the compatibility issues between the 3GPP specifications on IAB in 5G-NR and the satellite radio regulations. In addition, we identify the required adaptation from the 3GPP and/or satellite operators for realizing an NTN-enabled IAB operation. A case study is provided for a low earth orbit (LEO) satellite-enabled in-band IAB operation with orthogonal and non-orthogonal bandwidth allocation between access and backhauling, and under both time- and frequency-division duplex (TDD/FDD) transmission modes. Numerical results demonstrate the feasibility of IAB through satellites, and illustrate the superiority of FDD over TDD transmission. It is also shown that in the absence of precoding, non-orthogonal bandwidth allocation between the access and the backhaul can largely degrades the network throughput.




Abstract:Among the recent advances and innovations in wireless technologies, reconfigurable intelligent surfaces (RISs) have received much attention and are envisioned to be one of the enabling technologies for beyond 5G (B5G) networks. On the other hand, active (or classical) cooperative relays have played a key role in providing reliable and power-efficient communications in previous wireless generations. In this article, we focus on hybrid network architectures that amalgamate both active relays and RISs. The operation concept and protocols of each technology are first discussed. Subsequently, we present multiple use cases of cooperative hybrid networks where both active relays and RISs can coexist harmoniously for enhanced rate performance. Furthermore, a case study is provided which demonstrates the achievable rate performance of a communication network assisted by either an active relay, an RIS, or both, and with different relaying protocols. Finally, we provide the reader with the challenges and key research directions in this area.



Abstract:In this paper, we investigate a simultaneous transmitting and reflecting reconfigurable intelligent surface (STAR-RIS) assisting a massive multiple-input multiple-output (mMIMO) system. In particular, we derive a closed-form expression for the coverage probability of a STAR-RIS assisted mMIMO system while accounting for correlated fading and phase-shift errors. Notably, the phase configuration takes place at every several coherence intervals by optimizing the coverage probability since the latter depends on statistical channel state information (CSI) in terms of large-scale statistics. As a result, we achieve a reduced complexity and overhead for the optimization of passive beamforming, which are increased in the case of STAR-RIS networks with instantaneous CSI. Numerical results corroborate our analysis, shed light on interesting properties such as the impact of the number of RIS elements and the effect of phase errors, along with affirming the superiority of STAR-RIS against reflective-only RIS.




Abstract:This paper investigates the secrecy outage probability (SOP), the lower bound of SOP, and the probability of non-zero secrecy capacity (PNZ) of reconfigurable intelligent surface (RIS)-assisted systems from an information-theoretic perspective. In particular, we consider the impacts of eavesdroppers' location uncertainty and the phase adjustment uncertainty, namely imperfect coherent phase shifting and discrete phase shifting on RIS. More specifically, analytical and simulation results are presented to show that (i) the SOP gain due to the increase of the RIS reflecting elements number gradually decreases; and (ii) both phase shifting designs demonstrate the same PNZ secrecy performance, in other words, the random discrete phase shifting outperforms the imperfect coherent phase shifting design with reduced complexity.




Abstract:Reconfigurable Intelligent Surfaces (RIS) are planar structures connected to electronic circuitry, which can be employed to steer the electromagnetic signals in a controlled manner. Through this, the signal quality and the effective data rate can be substantially improved. While the benefits of RIS-assisted wireless communications have been investigated for various scenarios, some aspects of the network design, such as coverage, optimal placement of RIS, etc., often require complex optimization and numerical simulations, since the achievable effective rate is difficult to predict. This problem becomes even more difficult in the presence of phase estimation errors or location uncertainty, which can lead to substantial performance degradation if neglected. Considering randomly distributed receivers within a ring-shaped RIS-assisted wireless network, this paper mainly investigates the effective rate by taking into account the above-mentioned impairments. Furthermore, exact closed-form expressions for the effective rate are derived in terms of Meijer's $G$-function, which (i) reveals that the location and phase estimation uncertainty should be well considered in the deployment of RIS in wireless networks; and (ii) facilitates future network design and performance prediction.




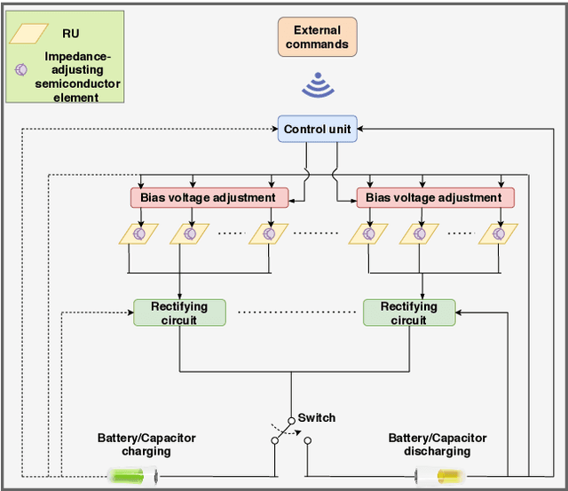
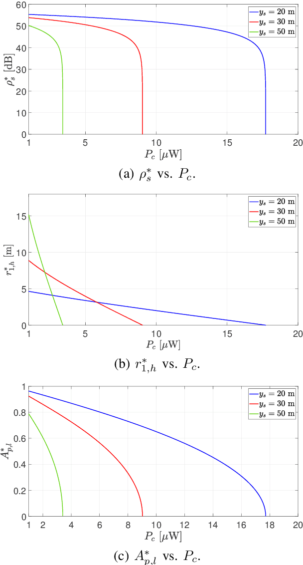
Abstract:In this work, we examine the potential of autonomous operation of a reconfigurable intelligent surface (RIS) using wireless energy harvesting from information signals. To this end, we first identify the main RIS power-consuming components and introduce a suitable power-consumption model. Subsequently, we introduce a novel RIS power-splitting architecture that enables simultaneous energy harvesting and beamsteering. Specifically, a subset of the RIS unit cells (UCs) is used for beamsteering while the remaining ones absorb energy. For the subset allocation, we propose policies obtained as solutions to two optimization problems. The first problem aims at maximizing the signal-to-noise ratio (SNR) at the receiver without violating the RIS's energy harvesting demands. Additionally, the objective of the second problem is to maximize the RIS harvested power, while ensuring an acceptable SNR at the receiver. We prove that under particular propagation conditions, some of the proposed policies deliver the optimal solution of the two problems. Furthermore, we report numerical results that reveal the efficiency of the policies with respect to the optimal and very high-complexity brute-force design approach. Finally, through a case study of user tracking, we showcase that the RIS power-consumption demands can be secured by harvesting energy from information signals.




Abstract:Non-geostationary (NGSO) satellites are envisioned to support various new communication applications from countless industries. NGSO systems are known for a number of key features such as lower propagation delay, smaller size, and lower signal losses in comparison to the conventional geostationary (GSO) satellites, which will enable latency-critical applications to be provided through satellites. NGSO promises a dramatic boost in communication speed and energy efficiency, and thus, tackling the main inhibiting factors of commercializing GSO satellites for broader utilizations. However, there are still many NGSO deployment challenges to be addressed to ensure seamless integration not only with GSO systems but also with terrestrial networks. These unprecedented challenges are discussed in this paper, including coexistence with GSO systems in terms of spectrum access and regulatory issues, satellite constellation and architecture designs, resource management problems, and user equipment requirements. Beyond this, the promised improvements of NGSO systems have motivated this survey to provide the state-of-the-art NGSO research focusing on the communication prospects, including physical layer and radio access technologies along with the networking aspects and the overall system features and architectures. We also outline a set of innovative research directions and new opportunities for future NGSO research.




Abstract:The satellite component is recognized as a promising solution to complement and extend the coverage of future Internet of things (IoT) terrestrial networks (TNs). In this context, a study item to integrate satellites into narrowband IoT (NB-IoT) systems has been approved within the 3rd Generation Partnership Project (3GPP) standardization body. However, as NB-IoT systems were initially conceived for TNs, their basic design principles and operation might require some key modifications when incorporating the satellite component. These changes in NB-IoT systems, therefore, need to be carefully implemented in order to guarantee a seamless integration of both TN and non-terrestrial network (NTN) for a global coverage. This paper addresses this adaptation for the random access (RA) step in NB-IoT systems, which is in fact the most challenging aspect in the NTN context, for it deals with multi-user time-frequency synchronization and timing advance for data scheduling. In particular, we propose an RA technique which is robust to typical satellite channel impairments, including long delays, significant Doppler effects, and wide beams, without requiring any modification to the current NBIoT RA waveform. Performance evaluations demonstrate the proposal's capability of addressing different NTN configurations recently defined by 3GPP for the 5G new radio system.