atlanTTic Research Center, Universidade de Vigo, Vigo, Spain
Abstract:Hybrid Analog and Digital (HAD) architectures provide a cost-effective alternative for large-scale antenna arrays, but accurate Direction-of-Arrival (DoA) estimation remains challenging due to limited digital dimensionality and constrained beamforming design. In this work, we propose a HAD architecture that employs Butler matrices to synthesize DFT beams over a uniform linear array. By exploiting the Cauchy-like displacement structure of the beamformed signal, we introduce a second-order statistics estimation algorithm that achieves near-optimal accuracy, approaching the Cram\'er-Rao Lower Bound (CRLB) and outperforming state-of-the-art methods in simulation.




Abstract:This paper provides an overview of the diverse range of applications and use cases for Single-Channel Full-Duplex (SCFD) techniques within the field of satellite communication. SCFD, allowing simultaneous transmission and reception on a single frequency channel, presents a transformative approach to enhancing satellite communication systems. We select eight potential use cases with the objective of highlighting the substantial potential of SCFD techniques in revolutionizing SatCom across a multitude of critical domains. In addition, preliminary results from the qualitative assessment are shown. This work is carried out within the European Space Agency (ESA) ongoing activity FDSAT: Single Channel Full Duplex Techniques for Satellite Communications.




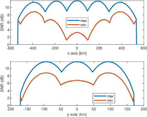
Abstract:Beamforming gain is a key ingredient in the performance of LEO satellite communication systems to be integrated into cellular networks. However, beam codebooks previously designed in the context of MIMO communication for terrestrial networks, do not provide the appropriate performance in terms of inter-beam interference and gain stability as the satellite moves. In this paper, we propose a dynamic codebook that provides a stable gain during the period of time that the satellite covers a given cell, while avoiding link retraining and extra calculation as the satellite moves. In addition, the proposed codebook provides a higher signal-to-interference-plus-noise (SINR) ratio than those DFT codebooks commonly used in cellular systems.




Abstract:5G and future cellular networks intend to incorporate low earth orbit (LEO) satellite communication systems (SatCom) to solve the coverage and availability problems that cannot be addressed by satellite-based or ground-based infrastructure alone. This integration of terrestrial and non terrestrial networks poses many technical challenges which need to be identified and addressed. To this aim, we design and simulate the downlink of a LEO SatCom compatible with 5G NR, with a special focus on the design of the beamforming codebook at the satellite side. The performance of this approach is evaluated for the link between a LEO satellite and a mobile terminal in the Ku band, assuming a realistic channel model and commercial antenna array designs, both at the satellite and the terminal. Simulation results provide insights on open research challenges related to analog codebook design and hybrid beamforming strategies, requirements of the antenna terminals to provide a given SNR, or required beam reconfiguration capabilities among others.