Abstract:Large Language Models (LLMs) are increasingly utilized for mental health support; however, current safety benchmarks often fail to detect the complex, longitudinal risks inherent in therapeutic dialogue. We introduce an evaluation framework that pairs AI psychotherapists with simulated patient agents equipped with dynamic cognitive-affective models and assesses therapy session simulations against a comprehensive quality of care and risk ontology. We apply this framework to a high-impact test case, Alcohol Use Disorder, evaluating six AI agents (including ChatGPT, Gemini, and Character.AI) against a clinically-validated cohort of 15 patient personas representing diverse clinical phenotypes. Our large-scale simulation (N=369 sessions) reveals critical safety gaps in the use of AI for mental health support. We identify specific iatrogenic risks, including the validation of patient delusions ("AI Psychosis") and failure to de-escalate suicide risk. Finally, we validate an interactive data visualization dashboard with diverse stakeholders, including AI engineers and red teamers, mental health professionals, and policy experts (N=9), demonstrating that this framework effectively enables stakeholders to audit the "black box" of AI psychotherapy. These findings underscore the critical safety risks of AI-provided mental health support and the necessity of simulation-based clinical red teaming before deployment.
Abstract:Natural disasters such as hurricanes are increasing and causing widespread devastation. People's decisions and actions regarding whether to evacuate or not are critical and have a large impact on emergency planning and response. Our interest lies in computationally modeling complex relationships among various factors influencing evacuation decisions. We conducted a study on the evacuation of Hurricane Irma of the 2017 Atlantic hurricane season. The study was guided by the Protection motivation theory (PMT), a widely-used framework to understand people's responses to potential threats. Graphical models were constructed to represent the complex relationships among the factors involved and the evacuation decision. We evaluated different graphical structures based on conditional independence tests using Irma data. The final model largely aligns with PMT. It shows that both risk perception (threat appraisal) and difficulties in evacuation (coping appraisal) influence evacuation decisions directly and independently. Certain information received from media was found to influence risk perception, and through it influence evacuation behaviors indirectly. In addition, several variables were found to influence both risk perception and evacuation behaviors directly, including family and friends' suggestions, neighbors' evacuation behaviors, and evacuation notices from officials.




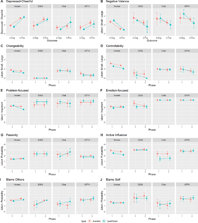
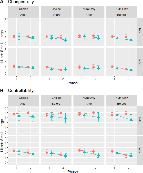
Abstract:Large Language Models (LLM) like ChatGPT have significantly advanced in recent years and are now being used by the general public. As more people interact with these systems, improving our understanding of these black box models is crucial, especially regarding their understanding of human psychological aspects. In this work, we investigate their emotion perception through the lens of appraisal and coping theory using the Stress and Coping Process Questionaire (SCPQ). SCPQ is a validated clinical instrument consisting of multiple stories that evolve over time and differ in key appraisal variables such as controllability and changeability. We applied SCPQ to three recent LLMs from OpenAI, davinci-003, ChatGPT, and GPT-4 and compared the results with predictions from the appraisal theory and human data. The results show that LLMs' responses are similar to humans in terms of dynamics of appraisal and coping, but their responses did not differ along key appraisal dimensions as predicted by the theory and data. The magnitude of their responses is also quite different from humans in several variables. We also found that GPTs can be quite sensitive to instruction and how questions are asked. This work adds to the growing literature evaluating the psychological aspects of LLMs and helps enrich our understanding of the current models.




Abstract:To assist game developers in crafting game NPCs, we present EvolvingBehavior, a novel tool for genetic programming to evolve behavior trees in Unreal Engine 4. In an initial evaluation, we compare evolved behavior to hand-crafted trees designed by our researchers, and to randomly-grown trees, in a 3D survival game. We find that EvolvingBehavior is capable of producing behavior approaching the designer's goals in this context. Finally, we discuss implications and future avenues of exploration for co-creative game AI design tools, as well as challenges and difficulties in behavior tree evolution.




Abstract:There is strong interest in the generation of synthetic video imagery of people talking for various purposes, including entertainment, communication, training, and advertisement. With the development of deep fake generation models, synthetic video imagery will soon be visually indistinguishable to the naked eye from a naturally capture video. In addition, many methods are continuing to improve to avoid more careful, forensic visual analysis. Some deep fake videos are produced through the use of facial puppetry, which directly controls the head and face of the synthetic image through the movements of the actor, allow the actor to 'puppet' the image of another. In this paper, we address the question of whether one person's movements can be distinguished from the original speaker by controlling the visual appearance of the speaker but transferring the behavior signals from another source. We conduct a study by comparing synthetic imagery that: 1) originates from a different person speaking a different utterance, 2) originates from the same person speaking a different utterance, and 3) originates from a different person speaking the same utterance. Our study shows that synthetic videos in all three cases are seen as less real and less engaging than the original source video. Our results indicate that there could be a behavioral signature that is detectable from a person's movements that is separate from their visual appearance, and that this behavioral signature could be used to distinguish a deep fake from a properly captured video.

Abstract:Game AI designers must manage complex interactions between the AI character, the game world, and the player, while achieving their design visions. Computational co-creativity tools can aid them, but first, AI and HCI researchers must gather requirements and determine design heuristics to build effective co-creative tools. In this work, we present a participatory design study that categorizes and analyzes game AI designers' workflows, goals, and expectations for such tools. We evince deep connections between game AI design and the design of co-creative tools, and present implications for future co-creativity tool research and development.