



Abstract:Precise parcellation of functional networks (FNs) of early developing human brain is the fundamental basis for identifying biomarker of developmental disorders and understanding functional development. Resting-state fMRI (rs-fMRI) enables in vivo exploration of functional changes, but adult FN parcellations cannot be directly applied to the neonates due to incomplete network maturation. No standardized neonatal functional atlas is currently available. To solve this fundamental issue, we propose TReND, a novel and fully automated self-supervised transformer-autoencoder framework that integrates regularized nonnegative matrix factorization (RNMF) to unveil the FNs in neonates. TReND effectively disentangles spatiotemporal features in voxel-wise rs-fMRI data. The framework integrates confidence-adaptive masks into transformer self-attention layers to mitigate noise influence. A self supervised decoder acts as a regulator to refine the encoder's latent embeddings, which serve as reliable temporal features. For spatial coherence, we incorporate brain surface-based geodesic distances as spatial encodings along with functional connectivity from temporal features. The TReND clustering approach processes these features under sparsity and smoothness constraints, producing robust and biologically plausible parcellations. We extensively validated our TReND framework on three different rs-fMRI datasets: simulated, dHCP and HCP-YA against comparable traditional feature extraction and clustering techniques. Our results demonstrated the superiority of the TReND framework in the delineation of neonate FNs with significantly better spatial contiguity and functional homogeneity. Collectively, we established TReND, a novel and robust framework, for neonatal FN delineation. TReND-derived neonatal FNs could serve as a neonatal functional atlas for perinatal populations in health and disease.
Abstract:Brain tumors, particularly glioblastoma, continue to challenge medical diagnostics and treatments globally. This paper explores the application of deep learning to multi-modality magnetic resonance imaging (MRI) data for enhanced brain tumor segmentation precision in the Sub-Saharan Africa patient population. We introduce an ensemble method that comprises eleven unique variations based on three core architectures: UNet3D, ONet3D, SphereNet3D and modified loss functions. The study emphasizes the need for both age- and population-based segmentation models, to fully account for the complexities in the brain. Our findings reveal that the ensemble approach, combining different architectures, outperforms single models, leading to improved evaluation metrics. Specifically, the results exhibit Dice scores of 0.82, 0.82, and 0.87 for enhancing tumor, tumor core, and whole tumor labels respectively. These results underline the potential of tailored deep learning techniques in precisely segmenting brain tumors and lay groundwork for future work to fine-tune models and assess performance across different brain regions.




Abstract:Brain tumors remain a critical global health challenge, necessitating advancements in diagnostic techniques and treatment methodologies. In response to the growing need for age-specific segmentation models, particularly for pediatric patients, this study explores the deployment of deep learning techniques using magnetic resonance imaging (MRI) modalities. By introducing a novel ensemble approach using ONet and modified versions of UNet, coupled with innovative loss functions, this study achieves a precise segmentation model for the BraTS-PEDs 2023 Challenge. Data augmentation, including both single and composite transformations, ensures model robustness and accuracy across different scanning protocols. The ensemble strategy, integrating the ONet and UNet models, shows greater effectiveness in capturing specific features and modeling diverse aspects of the MRI images which result in lesion_wise dice scores of 0.52, 0.72 and 0.78 for enhancing tumor, tumor core and whole tumor labels respectively. Visual comparisons further confirm the superiority of the ensemble method in accurate tumor region coverage. The results indicate that this advanced ensemble approach, building upon the unique strengths of individual models, offers promising prospects for enhanced diagnostic accuracy and effective treatment planning for brain tumors in pediatric brains.




Abstract:A major challenge in stroke research and stroke recovery predictions is the determination of a stroke lesion's extent and its impact on relevant brain systems. Manual segmentation of stroke lesions from 3D magnetic resonance (MR) imaging volumes, the current gold standard, is not only very time-consuming, but its accuracy highly depends on the operator's experience. As a result, there is a need for a fully automated segmentation method that can efficiently and objectively measure lesion extent and the impact of each lesion to predict impairment and recovery potential which might be beneficial for clinical, translational, and research settings. We have implemented and tested a fully automatic method for stroke lesion segmentation which was developed using eight different 2D-model architectures trained via transfer learning (TL) and mixed data approaches. Additionally, the final prediction was made using a novel ensemble method involving stacking and agreement window. Our novel method was evaluated in a novel in-house dataset containing 22 T1w brain MR images, which were challenging in various perspectives, but mostly because they included T1w MR images from the subacute (which typically less well defined T1 lesions) and chronic stroke phase (which typically means well defined T1-lesions). Cross-validation results indicate that our new method can efficiently and automatically segment lesions fast and with high accuracy compared to ground truth. In addition to segmentation, we provide lesion volume and weighted lesion load of relevant brain systems based on the lesions' overlap with a canonical structural motor system that stretches from the cortical motor region to the lowest end of the brain stem.
Abstract:Brain extraction is a critical preprocessing step in various neuroimaging studies, particularly enabling accurate separation of brain from non-brain tissue and segmentation of relevant within-brain tissue compartments and structures using Magnetic Resonance Imaging (MRI) data. FSL's Brain Extraction Tool (BET), although considered the current gold standard for automatic brain extraction, presents limitations and can lead to errors such as over-extraction in brains with lesions affecting the outer parts of the brain, inaccurate differentiation between brain tissue and surrounding meninges, and susceptibility to image quality issues. Recent advances in computer vision research have led to the development of the Segment Anything Model (SAM) by Meta AI, which has demonstrated remarkable potential in zero-shot segmentation of objects in real-world scenarios. In the current paper, we present a comparative analysis of brain extraction techniques comparing SAM with a widely used and current gold standard technique called BET on a variety of brain scans with varying image qualities, MR sequences, and brain lesions affecting different brain regions. We find that SAM outperforms BET based on average Dice coefficient, IoU and accuracy metrics, particularly in cases where image quality is compromised by signal inhomogeneities, non-isotropic voxel resolutions, or the presence of brain lesions that are located near (or involve) the outer regions of the brain and the meninges. In addition, SAM has also unsurpassed segmentation properties allowing a fine grain separation of different issue compartments and different brain structures. These results suggest that SAM has the potential to emerge as a more accurate, robust and versatile tool for a broad range of brain extraction and segmentation applications.




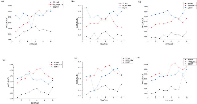
Abstract:With ever-expanding datasets of domains, tasks and languages, transfer learning (TL) from pre-trained neural language models has emerged as a powerful technique over the years. Many pieces of research have shown the effectiveness of transfer learning across different domains and tasks. However, there remains uncertainty around when a transfer will lead to positive or negative impacts on performance of the model. To understand the uncertainty, we investigate how TL affects the performance of popular pre-trained models like BERT, RoBERTa and XLNet over three natural language processing (NLP) tasks. We believe this work will inform about specifics on when and what to transfer related to domain, multi-lingual dataset and various NLP tasks.



Abstract:Election speeches play an integral role in communicating the vision and mission of the candidates. From lofty promises to mud-slinging, the electoral candidate accounts for all. However, there remains an open question about what exactly wins over the voters. In this work, we used state-of-the-art natural language processing methods to study the speeches and sentiments of the Republican candidate, Donald Trump, and Democratic candidate, Joe Biden, fighting for the 2020 US Presidential election. Comparing the racial dichotomy of the United States, we analyze what led to the victory and defeat of the different candidates. We believe this work will inform the election campaigning strategy and provide a basis for communicating to diverse crowds.