



Abstract:Widespread adoption of autonomous cars will require greater confidence in their safety than is currently possible. Certified control is a new safety architecture whose goal is two-fold: to achieve a very high level of safety, and to provide a framework for justifiable confidence in that safety. The key idea is a runtime monitor that acts, along with sensor hardware and low-level control and actuators, as a small trusted base, ensuring the safety of the system as a whole. Unfortunately, in current systems complex perception makes the verification even of a runtime monitor challenging. Unlike traditional runtime monitoring, therefore, a certified control monitor does not perform perception and analysis itself. Instead, the main controller assembles evidence that the proposed action is safe into a certificate that is then checked independently by the monitor. This exploits the classic gap between the costs of finding and checking. The controller is assigned the task of finding the certificate, and can thus use the most sophisticated algorithms available (including learning-enabled software); the monitor is assigned only the task of checking, and can thus run quickly and be smaller and formally verifiable. This paper explains the key ideas of certified control and illustrates them with a certificate for LiDAR data and its formal verification. It shows how the architecture dramatically reduces the amount of code to be verified, providing an end-to-end safety analysis that would likely not be achievable in a traditional architecture.


Abstract:We describe the concept of logical scaffolds, which can be used to improve the quality of software that relies on AI components. We explain how some of the existing ideas on runtime monitors for perception systems can be seen as a specific instance of logical scaffolds. Furthermore, we describe how logical scaffolds may be useful for improving AI programs beyond perception systems, to include general prediction systems and agent behavior models.




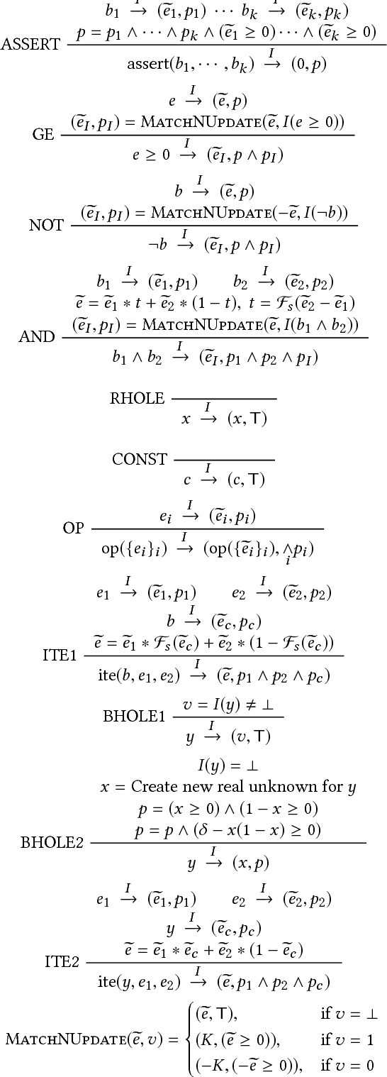
Abstract:In this paper, we present ReaS, a technique that combines numerical optimization with SAT solving to synthesize unknowns in a program that involves discrete and floating point computation. ReaS makes the program end-to-end differentiable by smoothing any Boolean expression that introduces discontinuity such as conditionals and relaxing the Boolean unknowns so that numerical optimization can be performed. On top of this, ReaS uses a SAT solver to help the numerical search overcome local solutions by incrementally fixing values to the Boolean expressions. We evaluated the approach on 5 case studies involving hybrid systems and show that ReaS can synthesize programs that could not be solved by previous SMT approaches.