



Abstract:Motion control of underwater robotic vehicles is a demanding task with great challenges imposed by external disturbances, model uncertainties and constraints of the operating workspace. Thus, robust motion control is still an open issue for the underwater robotics community. In that sense, this paper addresses the tracking control problem or 3D trajectories for underactuated underwater robotic vehicles operating in a constrained workspace including obstacles. In particular, a robust Nonlinear Model Predictive Control (NMPC) scheme is presented for the case of underactuated Autonomous Underwater Vehicles (AUVs) (i.e., vehicles actuated only in surge, heave and yaw). The purpose of the controller is to steer the underactuated AUV to a desired trajectory with guaranteed input and state constraints within a partially known and dynamic environment where the knowledge of the operating workspace is constantly updated on-line via the vehicle's on-board sensors. In particular, by considering a ball that covers the volume of the system, obstacle avoidance with any of the detected obstacles is guaranteed, despite the model dynamic uncertainties and the presence of external disturbances representing ocean currents and waves. The proposed feedback control law consists of two parts: an online law which is the result of a Finite Horizon Optimal Control Problem (FHOCP) solved for the nominal dynamics; and a state feedback law which is tuned off-line and guarantees that the real trajectories remain bound in a hyper-tube centered along the nominal trajectories for all times. Finally, a simulation study verifies the performance and efficiency of the proposed approach.


Abstract:This paper addresses the problem of cooperative object transportation for multiple Underwater Vehicle Manipulator Systems (UVMSs) in a constrained workspace with static obstacles, where the coordination relies solely on implicit communication arising from the physical interaction of the robots with the commonly grasped object. We propose a novel distributed leader-follower architecture, where the leading UVMS, which has knowledge of the object's desired trajectory, tries to achieve the desired tracking behavior via an impedance control law, navigating in this way, the overall formation towards the goal configuration while avoiding collisions with the obstacles. On the other hand, the following UVMSs estimate the object's desired trajectory via a novel prescribed performance estimation law and implement a similar impedance control law. The feedback relies on each UVMS's force/torque measurements and no explicit data is exchanged online among the robots. Moreover, the control scheme adopts load sharing among the UVMSs according to their specific payload capabilities. Finally, various simulation studies clarify the proposed method and verify its efficiency.




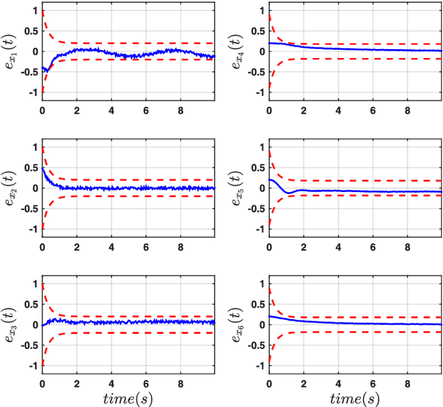
Abstract:This paper presents a novel Nonlinear Model Predictive Control (NMPC) scheme for underwater robotic vehicles operating in a constrained workspace including static obstacles. The purpose of the controller is to guide the vehicle towards specific way points. Various limitations such as: obstacles, workspace boundary, thruster saturation and predefined desired upper bound of the vehicle velocity are captured as state and input constraints and are guaranteed during the control design. The proposed scheme incorporates the full dynamics of the vehicle in which the ocean currents are also involved. Hence, the control inputs calculated by the proposed scheme are formulated in a way that the vehicle will exploit the ocean currents, when these are in favor of the way-point tracking mission which results in reduced energy consumption by the thrusters. The performance of the proposed control strategy is experimentally verified using a $4$ Degrees of Freedom (DoF) underwater robotic vehicle inside a constrained test tank with obstacles.




Abstract:This paper addresses the problem of cooperative transportation of an object rigidly grasped by $N$ robotic agents. In particular, we propose a Nonlinear Model Predictive Control (NMPC) scheme that guarantees the navigation of the object to a desired pose in a bounded workspace with obstacles, while complying with certain input saturations of the agents. Moreover, the proposed methodology ensures that the agents do not collide with each other or with the workspace obstacles as well as that they do not pass through singular configurations. The feasibility and convergence analysis of the NMPC are explicitly provided. Finally, simulation results illustrate the validity and efficiency of the proposed method.




Abstract:In various interaction tasks using Underwater Vehicle Manipulator Systems (UVMSs) (e.g. sampling of the sea organisms, underwater welding), important factors such as: i) uncertainties and complexity of UVMS dynamic model ii) external disturbances (e.g. sea currents and waves) iii) imperfection and noises of measuring sensors iv) steady state performance as well as v) inferior overshoot of interaction force error, should be addressed during the force control design. Motivated by the above factors, this paper presents a model-free control protocol for force controlling of an Underwater Vehicle Manipulator System which is in contact with a compliant environment, without incorporating any knowledge of the UVMS's dynamic model, exogenous disturbances and sensor's noise model. Moreover, the transient and steady state response as well as reduction of overshooting force error are solely determined by certain designer-specified performance functions and are fully decoupled by the UVMS's dynamic model, the control gain selection, as well as the initial conditions. Finally, a simulation study clarifies the proposed method and verifies its efficiency.