Theoretische Informatik, LMU Muenchen, Germany
Abstract:The emergence of breakthrough artificial intelligence (AI) techniques has led to a renewed focus on how small data settings, i.e., settings with limited information, can benefit from such developments. This includes societal issues such as how best to include under-represented groups in data-driven policy and decision making, or the health benefits of assistive technologies such as wearables. We provide a conceptual overview, in particular contrasting small data with big data, and identify common themes from exemplary case studies and application areas. Potential solutions are described in a more detailed technical overview of current data analysis and modelling techniques, highlighting contributions from different disciplines, such as knowledge-driven modelling from statistics and data-driven modelling from computer science. By linking application settings, conceptual contributions and specific techniques, we highlight what is already feasible and suggest what an agenda for fully leveraging small data might look like.
Abstract:Generative methods for graphs need to be sufficiently flexible to model complex dependencies between sets of nodes. At the same time, the generated graphs need to satisfy domain-dependent feasibility conditions, that is, they should not violate certain constraints that would make their interpretation impossible within the given application domain (e.g. a molecular graph where an atom has a very large number of chemical bounds). Crucially, constraints can involve not only local but also long-range dependencies: for example, the maximal length of a cycle can be bounded. Currently, a large class of generative approaches for graphs, such as methods based on artificial neural networks, is based on message passing schemes. These approaches suffer from information 'dilution' issues that severely limit the maximal range of the dependencies that can be modeled. To address this problem, we propose a generative approach based on the notion of graph grammars. The key novel idea is to introduce a domain-dependent coarsening procedure to provide short-cuts for long-range dependencies. We show the effectiveness of our proposal in two domains: 1) small drugs and 2) RNA secondary structures. In the first case, we compare the quality of the generated molecular graphs via the Molecular Sets (MOSES) benchmark suite, which evaluates the distance between generated and real molecules, their lipophilicity, synthesizability, and drug-likeness. In the second case, we show that the approach can generate very large graphs (with hundreds of nodes) that are accepted as valid examples for a desired RNA family by the "Infernal" covariance model, a state-of-the-art RNA classifier. Our implementation is available on github: github.com/fabriziocosta/GraphLearn


Abstract:In the constraint programming framework, state-of-the-art static and dynamic decomposition techniques are hard to apply to problems with complete initial constraint graphs. For such problems, we propose a hybrid approach of these techniques in the presence of global constraints. In particular, we solve the subgraph isomorphism problem. Further we design specific heuristics for this hard problem, exploiting its special structure to achieve decomposition. The underlying idea is to precompute a static heuristic on a subset of its constraint network, to follow this static ordering until a first problem decomposition is available, and to switch afterwards to a fully propagated, dynamically decomposing search. Experimental results show that, for sparse graphs, our decomposition method solves more instances than dedicated, state-of-the-art matching algorithms or standard constraint programming approaches.

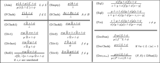
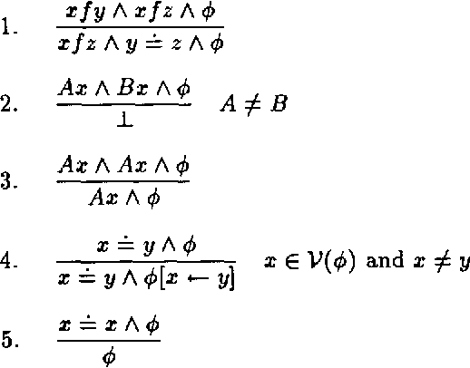
Abstract:There have been two different methods for checking the satisfiability of feature descriptions that use the functional uncertainty device, namely~\cite{Kaplan:88CO} and \cite{Backofen:94JSC}. Although only the one in \cite{Backofen:94JSC} solves the satisfiability problem completely, both methods have their merits. But it may happen that in one single description, there are parts where the first method is more appropriate, and other parts where the second should be applied. In this paper, we present a common framework that allows one to combine both methods. This is done by presenting a set of rules for simplifying feature descriptions. The different methods are described as different controls on this rule set, where a control specifies in which order the different rules must be applied.

Abstract:The natural language system DISCO is described. It combines o a powerful and flexible grammar development system; o linguistic competence for German including morphology, syntax and semantics; o new methods for linguistic performance modelling on the basis of high-level competence grammars; o new methods for modelling multi-agent dialogue competence; o an interesting sample application for appointment scheduling and calendar management.



Abstract:Various feature descriptions are being employed in logic programming languages and constrained-based grammar formalisms. The common notational primitive of these descriptions are functional attributes called features. The descriptions considered in this paper are the possibly quantified first-order formulae obtained from a signature of binary and unary predicates called features and sorts, respectively. We establish a first-order theory FT by means of three axiom schemes, show its completeness, and construct three elementarily equivalent models. One of the models consists of so-called feature graphs, a data structure common in computational linguistics. The other two models consist of so-called feature trees, a record-like data structure generalizing the trees corresponding to first-order terms. Our completeness proof exhibits a terminating simplification system deciding validity and satisfiability of possibly quantified feature descriptions.