



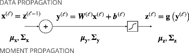
Abstract:Uncertainty quantification of neural networks is critical to measuring the reliability and robustness of deep learning systems. However, this often involves costly or inaccurate sampling methods and approximations. This paper presents a sample-free moment propagation technique that propagates mean vectors and covariance matrices across a network to accurately characterize the input-output distributions of neural networks. A key enabler of our technique is an analytic solution for the covariance of random variables passed through nonlinear activation functions, such as Heaviside, ReLU, and GELU. The wide applicability and merits of the proposed technique are shown in experiments analyzing the input-output distributions of trained neural networks and training Bayesian neural networks.




Abstract:Graph neural networks (GNNs) extend convolutional neural networks (CNNs) to graph-based data. A question that arises is how much performance improvement does the underlying graph structure in the GNN provide over the CNN (that ignores this graph structure). To address this question, we introduce edge entropy and evaluate how good an indicator it is for possible performance improvement of GNNs over CNNs. Our results on node classification with synthetic and real datasets show that lower values of edge entropy predict larger expected performance gains of GNNs over CNNs, and, conversely, higher edge entropy leads to expected smaller improvement gains.



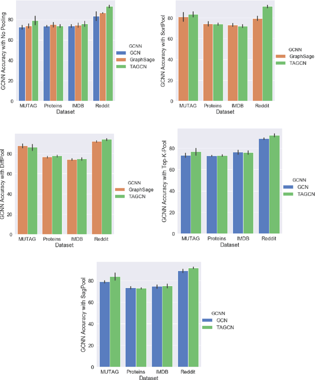
Abstract:Graph convolutional neural networks (GCNNs) are a powerful extension of deep learning techniques to graph-structured data problems. We empirically evaluate several pooling methods for GCNNs, and combinations of those graph pooling methods with three different architectures: GCN, TAGCN, and GraphSAGE. We confirm that graph pooling, especially DiffPool, improves classification accuracy on popular graph classification datasets and find that, on average, TAGCN achieves comparable or better accuracy than GCN and GraphSAGE, particularly for datasets with larger and sparser graph structures.




Abstract:Do men and women perceive emotions differently? Popular convictions place women as more emotionally perceptive than men. Empirical findings, however, remain inconclusive. Most prior studies focus on visual modalities. In addition, almost all of the studies are limited to experiments within controlled environments. Generalizability and scalability of these studies has not been sufficiently established. In this paper, we study the differences in perception of emotion between genders from speech data in the wild, annotated through crowdsourcing. While we limit ourselves to a single modality (i.e. speech), our framework is applicable to studies of emotion perception from all such loosely annotated data in general. Our paper addresses multiple serious challenges related to making statistically viable conclusions from crowdsourced data. Overall, the contributions of this paper are two fold: a reliable novel framework for perceptual studies from crowdsourced data; and the demonstration of statistically significant differences in speech-based emotion perception between genders.