TAU-CS




Abstract:We present a new Hebrew medical language model designed to extract structured clinical timelines from electronic health records, enabling the construction of patient journeys. Our model is based on DictaBERT 2.0 and continually pre-trained on over five million de-identified hospital records. To evaluate its effectiveness, we introduce two new datasets -- one from internal medicine and emergency departments, and another from oncology -- annotated for event temporal relations. Our results show that our model achieves strong performance on both datasets. We also find that vocabulary adaptation improves token efficiency and that de-identification does not compromise downstream performance, supporting privacy-conscious model development. The model is made available for research use under ethical restrictions.




Abstract:The discovery of the Dead Sea Scrolls over 60 years ago is widely regarded as one of the greatest archaeological breakthroughs in modern history. Recent study of the scrolls presents ongoing computational challenges, including determining the provenance of fragments, clustering fragments based on their degree of similarity, and pairing fragments that originate from the same manuscript -- all tasks that require focusing on individual letter and fragment shapes. This paper presents a computational method for segmenting ink and parchment regions in multispectral images of Dead Sea Scroll fragments. Using the newly developed Qumran Segmentation Dataset (QSD) consisting of 20 fragments, we apply multispectral thresholding to isolate ink and parchment regions based on their unique spectral signatures. To refine segmentation accuracy, we introduce an energy minimization technique that leverages ink contours, which are more distinguishable from the background and less noisy than inner ink regions. Experimental results demonstrate that this Multispectral Thresholding and Energy Minimization (MTEM) method achieves significant improvements over traditional binarization approaches like Otsu and Sauvola in parchment segmentation and is successful at delineating ink borders, in distinction from holes and background regions.




Abstract:Stylometry aims to distinguish authors by analyzing literary traits assumed to reflect semi-conscious choices distinct from elements like genre or theme. However, these components often overlap, complicating text classification based solely on feature distributions. While some literary properties, such as thematic content, are likely to manifest as correlations between adjacent text units, others, like authorial style, may be independent thereof. We introduce a hypothesis-testing approach to evaluate the influence of sequentially correlated literary properties on text classification, aiming to determine when these correlations drive classification. Using a multivariate binary distribution, our method models sequential correlations between text units as a stochastic process, assessing the likelihood of clustering across varying adjacency scales. This enables us to examine whether classification is dominated by sequentially correlated properties or remains independent. In experiments on a diverse English prose corpus, our analysis integrates traditional and neural embeddings within supervised and unsupervised frameworks. Results demonstrate that our approach effectively identifies when textual classification is not primarily influenced by sequentially correlated literary properties, particularly in cases where texts differ in authorial style or genre rather than by a single author within a similar genre.




Abstract:This paper presents a customized pipeline for segmenting manuscript fragments from images curated by the Israel Antiquities Authority (IAA). The images present challenges for standard segmentation methods due to the presence of the ruler, color, and plate number bars, as well as a black background that resembles the ink and varying backing substrates. The proposed pipeline, consisting of four steps, addresses these challenges by isolating and solving each difficulty using custom tailored methods. Further, the usage of a multi-step pipeline will surely be helpful from a conceptual standpoint for other image segmentation projects that encounter problems that have proven intractable when applying any of the more commonly used segmentation techniques. In addition, we create a dataset with bar detection and fragment segmentation ground truth and evaluate the pipeline steps qualitatively and quantitatively on it. This dataset is publicly available to support the development of the field. It aims to address the lack of standard sets of fragment images and evaluation metrics and enable researchers to evaluate their methods in a reliable and reproducible manner.
Abstract:Internet-based economies and societies are drowning in deceptive attacks. These attacks take many forms, such as fake news, phishing, and job scams, which we call ``domains of deception.'' Machine-learning and natural-language-processing researchers have been attempting to ameliorate this precarious situation by designing domain-specific detectors. Only a few recent works have considered domain-independent deception. We collect these disparate threads of research and investigate domain-independent deception. First, we provide a new computational definition of deception and break down deception into a new taxonomy. Then, we analyze the debate on linguistic cues for deception and supply guidelines for systematic reviews. Finally, we investigate common linguistic features and give evidence for knowledge transfer across different forms of deception.
Abstract:We present a pipeline for a statistical textual exploration, offering a stylometry-based explanation and statistical validation of a hypothesized partition of a text. Given a parameterization of the text, our pipeline: (1) detects literary features yielding the optimal overlap between the hypothesized and unsupervised partitions, (2) performs a hypothesis-testing analysis to quantify the statistical significance of the optimal overlap, while conserving implicit correlations between units of text that are more likely to be grouped, and (3) extracts and quantifies the importance of features most responsible for the classification, estimates their statistical stability and cluster-wise abundance. We apply our pipeline to the first two books in the Bible, where one stylistic component stands out in the eyes of biblical scholars, namely, the Priestly component. We identify and explore statistically significant stylistic differences between the Priestly and non-Priestly components.




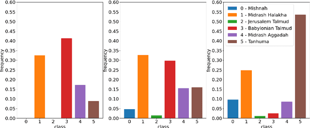
Abstract:Midrash collections are complex rabbinic works that consist of text in multiple languages, which evolved through long processes of unstable oral and written transmission. Determining the origin of a given passage in such a compilation is not always straightforward and is often a matter of dispute among scholars, yet it is essential for scholars' understanding of the passage and its relationship to other texts in the rabbinic corpus. To help solve this problem, we propose a system for classification of rabbinic literature based on its style, leveraging recently released pretrained Transformer models for Hebrew. Additionally, we demonstrate how our method can be applied to uncover lost material from Midrash Tanhuma.




Abstract:We suggest a model for metaphor interpretation using word embeddings trained over a relatively large corpus. Our system handles nominal metaphors, like "time is money". It generates a ranked list of potential interpretations of given metaphors. Candidate meanings are drawn from collocations of the topic ("time") and vehicle ("money") components, automatically extracted from a dependency-parsed corpus. We explore adding candidates derived from word association norms (common human responses to cues). Our ranking procedure considers similarity between candidate interpretations and metaphor components, measured in a semantic vector space. Lastly, a clustering algorithm removes semantically related duplicates, thereby allowing other candidate interpretations to attain higher rank. We evaluate using a set of annotated metaphors.




Abstract:Many of the great Jewish works of the Middle Ages were written in Judeo-Arabic, a Jewish branch of the Arabic language family that incorporates the Hebrew script as its writing system. In this work we are trying to train a model that will automatically transliterate Judeo-Arabic into Arabic script; thus we aspire to enable Arabic readers to access those writings. We adopt a recurrent neural network (RNN) approach to the problem, applying connectionist temporal classification loss to deal with unequal input/output lengths. This choice obligates adjustments, termed doubling, in the training data to avoid input sequences that are shorter than their corresponding outputs. We also utilize a pretraining stage with a different loss function to help the network converge. Furthermore, since only a single source of parallel text was available for training, we examine the possibility of generating data synthetically from other Arabic original text from the time in question, leveraging the fact that, though the convention for mapping applied by the Judeo-Arabic author has a one-to-many relation from Judeo-Arabic to Arabic, its reverse (from Arabic to Judeo-Arabic) is a proper function. By this we attempt to train a model that has the capability to memorize words in the output language, and that also utilizes the context for distinguishing ambiguities in the transliteration. We examine this ability by testing on shuffled data that lacks context. We obtain an improvement over the baseline results (9.5% error), achieving 2% error with our system. On the shuffled test data, the error rises to 2.5%.




Abstract:Field archeologists are called upon to identify potsherds, for which purpose they rely on their experience and on reference works. We have developed two complementary machine-learning tools to propose identifications based on images captured on site. One method relies on the shape of the fracture outline of a sherd; the other is based on decorative features. For the outline-identification tool, a novel deep-learning architecture was employed, one that integrates shape information from points along the inner and outer surfaces. The decoration classifier is based on relatively standard architectures used in image recognition. In both cases, training the classifiers required tackling challenges that arise when working with real-world archeological data: paucity of labeled data; extreme imbalance between instances of the different categories; and the need to avoid neglecting rare classes and to take note of minute distinguishing features of some classes. The scarcity of training data was overcome by using synthetically-produced virtual potsherds and by employing multiple data-augmentation techniques. A novel form of training loss allowed us to overcome the problems caused by under-populated classes and non-homogeneous distribution of discriminative features.