NEC Laboratories Europe GmbH




Abstract:The contribution of this work is twofold: (1) We introduce a collection of ensemble methods for time series forecasting to combine predictions from base models. We demonstrate insights on the power of ensemble learning for forecasting, showing experiment results on about 16000 openly available datasets, from M4, M5, M3 competitions, as well as FRED (Federal Reserve Economic Data) datasets. Whereas experiments show that ensembles provide a benefit on forecasting results, there is no clear winning ensemble strategy (plus hyperparameter configuration). Thus, in addition, (2), we propose a meta-learning step to choose, for each dataset, the most appropriate ensemble method and their hyperparameter configuration to run based on dataset meta-features.



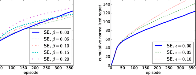
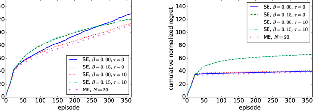
Abstract:We study a Combinatorial Multi-Bandit Problem motivated by applications in energy systems management. Given multiple probabilistic multi-arm bandits with unknown outcome distributions, the task is to optimize the value of a combinatorial objective function mapping the vector of individual bandit outcomes to a single scalar reward. Unlike in single-bandit problems with multi-dimensional action space, the outcomes of the individual bandits are observable in our setting and the objective function is known. Guided by the hypothesis that individual observability enables better trade-offs between exploration and exploitation, we generalize the lower regret bound for single bandits, showing that indeed for multiple bandits it admits parallelized exploration. For our energy management application we propose a range of algorithms that combine exploration principles for multi-arm bandits with mathematical programming. In an experimental study we demonstrate the effectiveness of our approach to learn action assignments for 150 bandits, each having 24 actions, within a horizon of 365 episodes.




Abstract:Automated algorithm selection and hyperparameter tuning facilitates the application of machine learning. Traditional multi-armed bandit strategies look to the history of observed rewards to identify the most promising arms for optimizing expected total reward in the long run. When considering limited time budgets and computational resources, this backward view of rewards is inappropriate as the bandit should look into the future for anticipating the highest final reward at the end of a specified time budget. This work addresses that insight by introducing HAMLET, which extends the bandit approach with learning curve extrapolation and computation time-awareness for selecting among a set of machine learning algorithms. Results show that the HAMLET Variants 1-3 exhibit equal or better performance than other bandit-based algorithm selection strategies in experiments with recorded hyperparameter tuning traces for the majority of considered time budgets. The best performing HAMLET Variant 3 combines learning curve extrapolation with the well-known upper confidence bound exploration bonus. That variant performs better than all non-HAMLET policies with statistical significance at the 95% level for 1,485 runs.


Abstract:In neural architecture search, the structure of the neural network to best model a given dataset is determined by an automated search process. Efficient Neural Architecture Search (ENAS), proposed by Pham et al. (2018), has recently received considerable attention due to its ability to find excellent architectures within a comparably short search time. In this work, which is motivated by the quest to further improve the learning speed of architecture search, we evaluate the learning progress of the controller which generates the architectures in ENAS. We measure the progress by comparing the architectures generated by it at different controller training epochs, where architectures are evaluated after having re-trained them from scratch. As a surprising result, we find that the learning curves are completely flat, i.e., there is no observable progress of the controller in terms of the performance of its generated architectures. This observation is consistent across the CIFAR-10 and CIFAR-100 datasets and two different search spaces. We conclude that the high quality of the models generated by ENAS is a result of the search space design rather than the controller training, and our results indicate that one-shot architecture design is an efficient alternative to architecture search by ENAS.




Abstract:Automated hyperparameter tuning aspires to facilitate the application of machine learning for non-experts. In the literature, different optimization approaches are applied for that purpose. This paper investigates the performance of Differential Evolution for tuning hyperparameters of supervised learning algorithms for classification tasks. This empirical study involves a range of different machine learning algorithms and datasets with various characteristics to compare the performance of Differential Evolution with Sequential Model-based Algorithm Configuration (SMAC), a reference Bayesian Optimization approach. The results indicate that Differential Evolution outperforms SMAC for most datasets when tuning a given machine learning algorithm - particularly when breaking ties in a first-to-report fashion. Only for the tightest of computational budgets SMAC performs better. On small datasets, Differential Evolution outperforms SMAC by 19% (37% after tie-breaking). In a second experiment across a range of representative datasets taken from the literature, Differential Evolution scores 15% (23% after tie-breaking) more wins than SMAC.