



Abstract:This paper investigates unmanned aerial vehicle (UAV)-mounted intelligent reflecting surfaces (IRS) to leverage the benefits of this technology for future communication networks, such as 6G. Key advantages include enhanced spectral and energy efficiency, expanded network coverage, and flexible deployment. One of the main challenges in employing UAV-mounted IRS (UMI) technology is the random fluctuations of hovering UAVs. Focusing on this challenge, this paper explores the capabilities of UMI with passive/active elements affected by UAV fluctuations in both horizontal and vertical angles, considering the three-dimensional (3D) radiation pattern of the IRS. The relationship between UAV fluctuations and IRS pattern is investigated by taking into account the random angular vibrations of UAVs. A tractable and closed-form distribution function for the IRS pattern is derived, using linear approximation and by dividing it into several sectors. In addition, closed-form expressions for outage probability (OP) are obtained using central limit theorem (CLT) and Gamma approximation. The theoretical expressions are validated through Monte Carlo simulations. The findings indicate that the random fluctuations of hovering UAVs have a notable impact on the performance of UMI systems. To avoid link interruptions due to UAV instability, IRS should utilize fewer elements, even though this leads to a decrease in directivity. As a result, unlike terrestrial IRS, incorporating more elements into aerial IRS systems does not necessarily improve performance due to the fluctuations in UAV. Numerical results show that the OP can be minimized by selecting the optimal number of IRS elements and using active elements.
Abstract:This paper analyses the performance of reconfigurable intelligent surface (RIS)-assisted device-to-device (D2D) communication systems, focusing on addressing co-channel interference, a prevalent issue due to the frequency reuse of sidelink in the underlay in-band D2D communications. In contrast to previous studies that either neglect interference or consider it only at the user, our research investigates a performance analysis in terms of outage probability (OP) for RIS-assisted D2D communication systems considering the presence of interference at both the user and the RIS. More specifically, we introduce a novel integral-form expression for an exact analysis of OP. Additionally, we present a new accurate approximation expression for OP, using the gamma distributions to approximate the fading of both desired and interference links, thereby yielding a closed-form expression. Nevertheless, both derived expressions, i.e., the exact integral-form and the approximate closed-form, contain special functions, such as Meijer's G-function and the parabolic cylinder function, which complicate real-time OP analysis. To circumvent this, we employ a deep neural network (DNN) for real-time OP prediction, trained with data generated by the exact expression. Moreover, we present a tight upper bound that quantifies the impact of interference on achievable diversity order and coding gain. We validate the derived expressions through Monte Carlo simulations. Our analysis reveals that while interference does not affect the system's diversity order, it significantly degrades the performance by reducing the coding gain. The results further demonstrate that increasing the number of RIS's reflecting elements is an effective strategy to mitigate the adverse effects of the interference on the system performance.




Abstract:This paper presents exact formulas for the probability distribution function (PDF) and moment generating function (MGF) of the sum-product of statistically independent but not necessarily identically distributed (i.n.i.d.) Nakagami-$m$ random variables (RVs) in terms of Meijer's G-function. Additionally, exact series representations are also derived for the sum of double-Nakagami RVs, providing useful insights on the trade-off between accuracy and computational cost. Simple asymptotic analytical expressions are provided to gain further insight into the derived formula, and the achievable diversity order is obtained. The suggested statistical properties are proved to be a highly useful tool for modeling parallel cascaded Nakagami-$m$ fading channels. The application of these new results is illustrated by deriving exact expressions and simple tight upper bounds for the outage probability (OP) and average symbol error rate (ASER) of several binary and multilevel modulation signals in intelligent reflecting surfaces (IRSs)-assisted communication systems operating over Nakagami-$m$ fading channels. It is demonstrated that the new asymptotic expression is highly accurate and can be extended to encompass a wider range of scenarios. To validate the theoretical frameworks and formulations, Monte-Carlo simulation results are presented. Additionally, supplementary simulations are provided to compare the derived results with two common types of approximations available in the literature, namely the central limit theorem (CLT) and gamma distribution.




Abstract:This paper concentrates on the problem of associating an intelligent reflecting surface (IRS) to multiple users in a multiple-input single-output (MISO) downlink wireless communication network. The main objective of the paper is to maximize the sum-rate of all users by solving the joint optimization problem of the IRS-user association, IRS reflection, and BS beamforming, formulated as a non-convex mixed-integer optimization problem. The variable separation and relaxation are used to transform the problem into three convex sub-problems, which are alternatively solved through the convex optimization (CO) method. The major drawback of the proposed CO-based algorithm is high computational complexity. Thus, we make use of machine learning (ML) to tackle this problem. To this end, first, we convert the optimization problem into a regression problem. Then, we solve it with feed-forward neural networks (FNNs), trained by CO-based generated data. Simulation results show that the proposed ML-based algorithm has a performance equivalent to the CO-based algorithm, but with less computation complexity due to its offline training procedure.




Abstract:Reconfigurable Intelligent Surface (RIS) plays a pivotal role in the sixth generation networks to enhance communication rate and localization accuracy. In this letter, we propose a positioning algorithm in a RIS-assisted environment, where the Base Station (BS) is multi-antenna, and the Mobile Station (MS) is single-antenna. We show that our method can achieve a high-precision positioning if the line-of-sight (LOS) is obstructed and three RISs are available. We send several known signals to the receiver in different time slots and change the phase shifters of the RISs simultaneously in a proper way, and we propose a technique to eliminate the destructive effect of the angle-of-departure (AoD) in order to determine the distances between each RISs and the MS. The accuracy of the proposed algorithm is better than the algorithms which do not estimate the AoD, shown in the numerical result section.




Abstract:Abnormality, defined as any abnormal feature in the system, may occur in different areas such as healthcare, medicine, cyber security, industry, etc. The detection and localization of the abnormality have been studied widely in wireless sensor networks literature where the sensors use electromagnetic waves for communication. Due to their invasiveness, bio-incompatibility, and high energy consumption for some applications, molecular communication (MC) has been introduced as an alternative approach, which enables promising systems for abnormality detection and localization. In this paper, we overview the MC-based abnormality detection and localization schemes. To do this, we propose a general MC system for abnormality detection and localization to encompass the most related works. The general MC-based abnormality detection and localization system consists of multiple tiers for sensing the abnormality and communication between different agents in the system. We describe different abnormality recognition methods, which can be used by the sensors to obtain information about the abnormality. Further, we describe the functional units of the sensors and different sensor features. We explain different interfaces for connecting the internal and external communication networks and generally model the sensing and communication channels. We formulate the abnormality detection and localization problem using MC systems and present a general framework for the externally-controllable localization systems. We categorize the MC-based abnormality detection schemes based on the sensor mobility, cooperative detection, and cooperative sensing/activation. We classify the localization approaches based on the sensor mobility and propulsion mechanisms. Finally, we provide the ongoing challenges and future research directions to realize and develop MC-based systems for detection and localization of the abnormality.




Abstract:In this paper, we propose a molecular communication system to localize an abnormality in a diffusion based medium. We consider a general setup to perform joint sensing, communication and localization. This setup consists of three types of devices, each for a different task: mobile sensors for navigation and molecule releasing (for communication), fusion centers (FC)s for sampling, amplifying and forwarding the signal, and a gateway for making decision or exchanging the information with an external device. The sensors move randomly in the environment to reach the abnormality. We consider both collaborative and non-collaborative sensors that simultaneously release their molecules to the FCs when the number of activated sensors or the moving time reach a certain threshold, respectively. The FCs amplify the received signal and forward it to the gateway for decision making using either an ideal or a noisy communication channel. A practical application of the proposed model is drug delivery in a tissue of human body, in order to guide the nanomachine bound drug to the exact location. The decision rules and probabilities of error are obtained for two considered sensors types in both ideal and noisy communication channels.




Abstract:In this paper, we propose a theoretical framework for cooperative abnormality detection and localization systems by exploiting molecular communication setup. The system consists of mobile sensors in a fluidic medium, which are injected into the medium to search the environment for abnormality. Some fusion centers (FC) are placed at specific locations in the medium, which absorb all sensors arrived at their locations, and by observing its state, each FC decides on the abnormality existence and/or its location. To reduce the effects of sensor imperfection, we propose a scheme where the sensors release some molecules (i.e., markers) into the medium after they sense an abnormality. If the goal is abnormality detection, the released molecules are used to cooperatively activate other sensors. If the goal is abnormality localization, the released molecules are used by the FCs to determine the location. In our model, both sensors' imperfection and markers background noise are taken into account. For the detection phase, we consider two sensor types based on their activation strategy by markers. To make the analysis tractable, we assume some ideal assumptions for the sensors' model. We investigate the related binary hypothesis testing problem and obtain the probabilities of false alarm and miss-detection. It is shown that using sensors with the ability of cooperatively activating each other can significantly improve the detection performance in terms of probability of error. For the localization phase, we consider two types of FCs based on their capability in reading sensors' storage levels. We study their performance and obtain the optimal and sub-optimal decision schemes and also the probability of localization error for both perfect and imperfect sensing regimes.




Abstract:Diffusive molecular communications (DiMC) have recently gained attention as a candidate for nano- to micro- and macro-scale communications due to its simplicity and energy efficiency. As signal propagation is solely enabled by Brownian motion mechanics, DiMC faces severe inter-symbol interference (ISI), which limits reliable and high data-rate communications. Herein, recent literature on DiMC performance enhancement strategies is surveyed; key research directions are identified. Signaling design and associated design constraints are presented. Classical and novel transceiver designs are reviewed with an emphasis on methods for ISI mitigation and performance-complexity tradeoffs. Key parameter estimation strategies such as synchronization and channel estimation are considered in conjunction with asynchronous and timing error robust receiver methods. Finally, source and channel coding in the context of DiMC is presented.




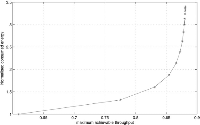
Abstract:Powerful spectrum sensing schemes enable cognitive radios (CRs) to find transmission opportunities in spectral resources allocated exclusively to the primary users. In this paper, maximizing the average throughput of a secondary user by optimizing its spectrum sensing time is formulated assuming that a prior knowledge of the presence and absence probabilities of the primary users is available. The energy consumed for finding a transmission opportunity is evaluated and a discussion on the impact of the number of the primary users on the secondary user throughput and consumed energy is presented. In order to avoid the challenges associated with the analytical method, as a second solution, a systematic neural network-based sensing time optimization approach is also proposed in this paper. The proposed adaptive scheme is able to find the optimum value of the channel sensing time without any prior knowledge or assumption about the wireless environment. The structure, performance, and cooperation of the artificial neural networks used in the proposed method are disclosed in detail and a set of illustrative simulation results is presented to validate the analytical results as well as the performance of the proposed learning-based optimization scheme.