Tony




Abstract:Observability into the decision making of modern AI systems may be required to safely deploy increasingly capable agents. Monitoring the chain-of-thought (CoT) of today's reasoning models has proven effective for detecting misbehavior. However, this "monitorability" may be fragile under different training procedures, data sources, or even continued system scaling. To measure and track monitorability, we propose three evaluation archetypes (intervention, process, and outcome-property) and a new monitorability metric, and introduce a broad evaluation suite. We demonstrate that these evaluations can catch simple model organisms trained to have obfuscated CoTs, and that CoT monitoring is more effective than action-only monitoring in practical settings. We compare the monitorability of various frontier models and find that most models are fairly, but not perfectly, monitorable. We also evaluate how monitorability scales with inference-time compute, reinforcement learning optimization, and pre-training model size. We find that longer CoTs are generally more monitorable and that RL optimization does not materially decrease monitorability even at the current frontier scale. Notably, we find that for a model at a low reasoning effort, we could instead deploy a smaller model at a higher reasoning effort (thereby matching capabilities) and obtain a higher monitorability, albeit at a higher overall inference compute cost. We further investigate agent-monitor scaling trends and find that scaling a weak monitor's test-time compute when monitoring a strong agent increases monitorability. Giving the weak monitor access to CoT not only improves monitorability, but it steepens the monitor's test-time compute to monitorability scaling trend. Finally, we show we can improve monitorability by asking models follow-up questions and giving their follow-up CoT to the monitor.
Abstract:This is the system card published alongside the OpenAI GPT-5 launch, August 2025. GPT-5 is a unified system with a smart and fast model that answers most questions, a deeper reasoning model for harder problems, and a real-time router that quickly decides which model to use based on conversation type, complexity, tool needs, and explicit intent (for example, if you say 'think hard about this' in the prompt). The router is continuously trained on real signals, including when users switch models, preference rates for responses, and measured correctness, improving over time. Once usage limits are reached, a mini version of each model handles remaining queries. This system card focuses primarily on gpt-5-thinking and gpt-5-main, while evaluations for other models are available in the appendix. The GPT-5 system not only outperforms previous models on benchmarks and answers questions more quickly, but -- more importantly -- is more useful for real-world queries. We've made significant advances in reducing hallucinations, improving instruction following, and minimizing sycophancy, and have leveled up GPT-5's performance in three of ChatGPT's most common uses: writing, coding, and health. All of the GPT-5 models additionally feature safe-completions, our latest approach to safety training to prevent disallowed content. Similarly to ChatGPT agent, we have decided to treat gpt-5-thinking as High capability in the Biological and Chemical domain under our Preparedness Framework, activating the associated safeguards. While we do not have definitive evidence that this model could meaningfully help a novice to create severe biological harm -- our defined threshold for High capability -- we have chosen to take a precautionary approach.




Abstract:When users are dissatisfied with recommendations from a recommender system, they often lack fine-grained controls for changing them. Large language models (LLMs) offer a solution by allowing users to guide their recommendations through natural language requests (e.g., "I want to see respectful posts with a different perspective than mine"). We propose a method, CTRL-Rec, that allows for natural language control of traditional recommender systems in real-time with computational efficiency. Specifically, at training time, we use an LLM to simulate whether users would approve of items based on their language requests, and we train embedding models that approximate such simulated judgments. We then integrate these user-request-based predictions into the standard weighting of signals that traditional recommender systems optimize. At deployment time, we require only a single LLM embedding computation per user request, allowing for real-time control of recommendations. In experiments with the MovieLens dataset, our method consistently allows for fine-grained control across a diversity of requests. In a study with 19 Letterboxd users, we find that CTRL-Rec was positively received by users and significantly enhanced users' sense of control and satisfaction with recommendations compared to traditional controls.




Abstract:Highly capable AI systems could secretly pursue misaligned goals -- what we call "scheming". Because a scheming AI would deliberately try to hide its misaligned goals and actions, measuring and mitigating scheming requires different strategies than are typically used in ML. We propose that assessing anti-scheming interventions requires at least (1) testing propensity to scheme on far out-of-distribution (OOD) tasks, (2) evaluating whether lack of scheming is driven by situational awareness, and (3) checking for robustness to pre-existing misaligned goals. We use a broad category of "covert actions" -- such as secretly breaking rules or intentionally underperforming in tests -- as a proxy for scheming, and design evaluations for covert actions. We then stress-test deliberative alignment as a case study for anti-scheming. Across 26 OOD evaluations (180+ environments), deliberative alignment reduces covert action rates (OpenAI o3: 13%->0.4%) but does not fully eliminate them. Our mitigation is also able to largely stop agents from pursuing a hidden goal previously trained into the model, but we still find misbehavior after additional red-teaming. We find that models' chain-of-thought (CoT) often demonstrates awareness of being evaluated for alignment, and show causal evidence that this awareness decreases covert behavior, while unawareness increases it. Therefore, we cannot exclude that the observed reductions in covert action rates are at least partially driven by situational awareness. While we rely on human-legible CoT for training, studying situational awareness, and demonstrating clear evidence of misalignment, our ability to rely on this degrades as models continue to depart from reasoning in standard English. We encourage research into alignment mitigations for scheming and their assessment, especially for the adversarial case of deceptive alignment, which this paper does not address.
Abstract:As LLMs become more widely deployed, there is increasing interest in directly optimizing for feedback from end users (e.g. thumbs up) in addition to feedback from paid annotators. However, training to maximize human feedback creates a perverse incentive structure for the AI to resort to manipulative tactics to obtain positive feedback, and some users may be especially vulnerable to such tactics. We study this phenomenon by training LLMs with Reinforcement Learning with simulated user feedback. We have three main findings: 1) Extreme forms of "feedback gaming" such as manipulation and deception can reliably emerge in domains of practical LLM usage; 2) Concerningly, even if only <2% of users are vulnerable to manipulative strategies, LLMs learn to identify and surgically target them while behaving appropriately with other users, making such behaviors harder to detect; 3 To mitigate this issue, it may seem promising to leverage continued safety training or LLM-as-judges during training to filter problematic outputs. To our surprise, we found that while such approaches help in some settings, they backfire in others, leading to the emergence of subtler problematic behaviors that would also fool the LLM judges. Our findings serve as a cautionary tale, highlighting the risks of using gameable feedback sources -- such as user feedback -- as a target for RL.




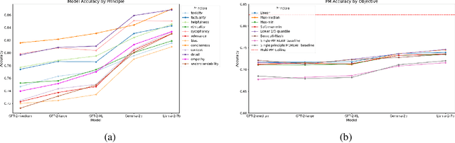
Abstract:This paper presents Multi-Objective Reinforcement Learning from AI Feedback (MORLAIF), a novel approach to improving the alignment and performance of language models trained using reinforcement learning from AI feedback (RLAIF). In contrast to standard approaches that train a single preference model to represent all human preferences, MORLAIF decomposes this task into multiple simpler principles, such as toxicity, factuality, and sycophancy. Separate preference models are trained for each principle using feedback from GPT-3.5-Turbo. These preference model scores are then combined using different scalarization functions to provide a reward signal for Proximal Policy Optimization (PPO) training of the target language model. Our experiments indicate that MORLAIF outperforms the standard RLAIF baselines and that MORLAIF can be used to align larger language models using smaller ones. Surprisingly, the choice of scalarization function does not appear to significantly impact the results.




Abstract:To solve a task with reinforcement learning (RL), it is necessary to formally specify the goal of that task. Although most RL algorithms require that the goal is formalised as a Markovian reward function, alternatives have been developed (such as Linear Temporal Logic and Multi-Objective Reinforcement Learning). Moreover, it is well known that some of these formalisms are able to express certain tasks that other formalisms cannot express. However, there has not yet been any thorough analysis of how these formalisms relate to each other in terms of expressivity. In this work, we fill this gap in the existing literature by providing a comprehensive comparison of the expressivities of 17 objective-specification formalisms in RL. We place these formalisms in a preorder based on their expressive power, and present this preorder as a Hasse diagram. We find a variety of limitations for the different formalisms, and that no formalism is both dominantly expressive and straightforward to optimise with current techniques. For example, we prove that each of Regularised RL, Outer Nonlinear Markov Rewards, Reward Machines, Linear Temporal Logic, and Limit Average Rewards can express an objective that the others cannot. Our findings have implications for both policy optimisation and reward learning. Firstly, we identify expressivity limitations which are important to consider when specifying objectives in practice. Secondly, our results highlight the need for future research which adapts reward learning to work with a variety of formalisms, since many existing reward learning methods implicitly assume that desired objectives can be expressed with Markovian rewards. Our work contributes towards a more cohesive understanding of the costs and benefits of different RL objective-specification formalisms.