Abstract:Indoor sensing is challenging because of the multi-bounce effect, spherical wavefront, and spatial nonstationarity (SNS) of the near-field effect. This paper addresses radio-based environment sensing considering these issues. Specifically, graph theory (GT) is used to model the multi-bounce propagation of the near field. In this manner, indoor reflectors/scatterers are modeled as vertices in a propagation graph, the multi-bounce paths are modeled by the edges linking the vertices. Besides, the coupled multipath parameters in the near field, i.e., range and angles, are denoted directly by the coordinates of vertices. Then, the space-alternating generalized expectation-maximization (SAGE) algorithm is adapted to the proposed Graph theory-based dictionary-aided Multi-bounce SAGE (GM-SAGE), where the searching parameters including range and angle of departure/arrival (AoD/AoA) are transformed to the coordinates of scatterers in the graph. The proposed algorithm is validated through measurement-calibrated ray tracing (RT) in a complex indoor office. The results demonstrate that the proposed GM-SAGE can deal with multi-bounce channels.



Abstract:Radar simulation is a promising way to provide data-cube with effectiveness and accuracy for AI-based approaches to radar applications. This paper develops a channel simulator to generate frequency-modulated continuous-wave (FMCW) waveform multiple inputs multiple outputs (MIMO) radar signals. In the proposed simulation framework, an open-source animation tool called Blender is utilized to model the scenarios and render animations. The ray tracing (RT) engine embedded can trace the radar propagation paths, i.e., the distance and signal strength of each path. The beat signal models of time division multiplexing (TDM)-MIMO are adapted to RT outputs. Finally, the environment-based models are simulated to show the validation.
Abstract:To enable non-line-of-sight (NLoS) sensing and communications, dual-function radar-communications (DFRC) systems have recently proposed employing reconfigurable intelligent surface (RIS) as a reflector in wireless media. However, in the dense environment and higher frequencies, severe propagation and attenuation losses are a hindrance for RIS-aided DFRC systems to utilize wideband processing. To this end, we propose equipping the transceivers with the reconfigurable holographic surface (RHS) that, different from RIS, is a metasurface with an embedded connected feed deployed at the transceiver for greater control of the radiation amplitude. This surface is crucial for designing compact low-cost wideband wireless systems, wherein ultra-massive antenna arrays are required to compensate for the losses incurred by severe attenuation and diffraction. We consider a novel wideband DFRC system equipped with an RHS at the transceiver and a RIS reflector in the channel. We jointly design the digital, holographic, and passive beamformers to maximize the radar signal-to-interference-plus-noise ratio (SINR) while ensuring the communications SINR among all users. The resulting nonconvex optimization problem involves maximin objective, constant modulus, and difference of convex constraints. We develop an alternating maximization method to decouple and iteratively solve these subproblems. Numerical experiments demonstrate that the proposed method achieves better radar performance than non-RIS, random-RHS, and randomly configured RIS-aided DFRC systems.



Abstract:Pulse compression can enhance both the performance in range resolution and sensitivity for weather radar. However, it will introduce the issue of high sidelobes if not delicately implemented. Motivated by this fact, we focus on the pulse compression design for weather radar in this paper. Specifically, we jointly design both the subpulse codes and extended mismatch filter based on the alternating direction method of multipliers (ADMM). This joint design will yield a pulse compression with low sidelobes, which equivalently implies a high signal-to-interference-plus-noise ratio (SINR) and a low estimation error on meteorological reflectivity. The experiment results demonstrate the efficacy of the proposed pulse compression strategy since its achieved meteorological reflectivity estimations are highly similar to the ground truth.




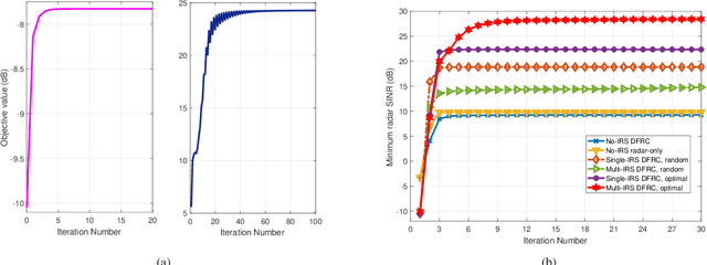
Abstract:Intelligence reflecting surface (IRS) is recognized as the enabler of future dual-function radar-communications (DFRC) for improving spectral efficiency, coverage, parameter estimation, and interference suppression. Prior studies on IRS-aided DFRC focus on either narrowband processing, single-IRS deployment, static targets, non-clutter scenario, or under-utilized line-of-sight (LoS) and non-line-of-sight (NLoS) paths. In this paper, we address the aforementioned shortcomings by optimizing a wideband DFRC system that comprises multiple IRSs and a dual-function base station that jointly processes the LoS and NLoS wideband multi-carrier signals to extract communications symbols and moving target parameters in the presence of clutter. We formulate the transmit and IRS beamformer design as the maximization of the worst-case radar signal-to-interference-plus-noise ratio (SINR) subject to transmit power and communications SINR. We tackle this nonconvex problem under the alternating optimization framework, where the subproblems are solved by a combination of the Dinkelbach algorithm, consensus alternating direction method of multipliers, and Riemannian steepest decent. Our numerical experiments show that the proposed multi-IRS-aided wideband DFRC provides over $6$ dB radar SINR and $40$% improvement in target detection over a single-IRS system.




Abstract:The intelligent reflecting surface (IRS) alters the behavior of wireless media and, consequently, has potential to improve the performance and reliability of wireless systems such as communications and radar remote sensing. Recently, integrated sensing and communications (ISAC) has been widely studied as a means to efficiently utilize spectrum and thereby save cost and power. This article investigates the role of IRS in the future ISAC paradigms. While there is a rich heritage of recent research into IRS-assisted communications, the IRS-assisted radars and ISAC remain relatively unexamined. We discuss the putative advantages of IRS deployment, such as coverage extension, interference suppression, and enhanced parameter estimation, for both communications and radar. We introduce possible IRS-assisted ISAC scenarios with common and dedicated surfaces. The article provides an overview of related signal processing techniques and the design challenges, such as wireless channel acquisition, waveform design, and security.




Abstract:Designing unimodular waveforms with a desired beampattern, spectral occupancy and orthogonality level is of vital importance in the next generation Multiple-Input Multiple-Output (MIMO) radar systems. Motivated by this fact, in this paper, we propose a framework for shaping the beampattern in MIMO radar systems under the constraints simultaneously ensuring unimodularity, desired spectral occupancy and orthogonality of the designed waveform. In this manner, the proposed framework is the most comprehensive approach for MIMO radar waveform design focusing on beampattern shaping. The problem formulation leads to a non-convex quadratic fractional programming. We propose an effective iterative to solve the problem, where each iteration is composed of a Semi-Definite Programming (SDP) followed by eigenvalue decomposition. Some numerical simulations are provided to illustrate the superior performance of our proposed over the state-of-the-art.




Abstract:In this paper, the problem of beampattern synthesis for sparse array is investigated. By properly devising the transmitting weight vector, the synthesized beampattern is able to match the desired pattern with minimum array elements. Compared with the commonly used $\ell_1$-norm approach, the Shannon entropy function is first introduced to enhance the sparsity of array configurations. Then, a novel method which combines the majorization minimization and alternating direction multiplier method (M-ADMM) is developed to tackle the formulated nonconvex problem. Simulation results demonstrate the effectiveness and practicality of the proposed method.




Abstract:Multiple-input multiple-output (MIMO) radars transmit a set of sequences that exhibit small cross-correlation sidelobes, to enhance sensing performance by separating them at the matched filter outputs. The waveforms also require small auto-correlation sidelobes to avoid masking of weak targets by the range sidelobes of strong targets and to mitigate deleterious effects of distributed clutter. In light of these requirements, in this paper, we design a set of phase-only (constant modulus) sequences that exhibit near-optimal properties in terms of Peak Sidelobe Level (PSL) and Integrated Sidelobe Level (ISL). At the design stage, we adopt weighted lp-norm of auto- and cross-correlation sidelobes as the objective function and minimize it for a general p value, using block successive upper bound minimization (BSUM). Considering the limitation of radar amplifiers, we design unimodular sequences which make the design problem non-convex and NP-hard. To tackle the problem, in every iteration of the BSUM algorithm, we introduce different local approximation functions and optimize them concerning a block, containing a code entry or a code vector. The numerical results show that the performance of the optimized set of sequences outperforms the state-of-the-art counterparts, in both terms of PSL values and computational time.




Abstract:This paper aims to design a set of transmitting waveforms in cognitive colocated Multi-Input Multi-Output (MIMO) radar systems considering the simultaneous minimization of spatial- and the range- Integrated Sidelobe Level Ratio (ISLR). The design problem is formulated as a bi-objective Pareto optimization under practical constraints on the waveforms, namely total transmit power, peak-to-average-power ratio (PAR), constant modulus, and discrete phase alphabet. A Coordinate Descent (CD) based approach is proposed, in which at every single variable update of the algorithm we obtain the solution of the uni-variable optimization problems. The novelty of the paper comes from deriving a flexible waveform design problem applicable for 4D imaging MIMO radars which is optimized directly over the different constraint sets. The simultaneous optimization leads to a trade-off between the two ISLRs and the simulation results illustrate significantly improved trade-off offered by the proposed methodologies.