


Abstract:Radar simulation is a promising way to provide data-cube with effectiveness and accuracy for AI-based approaches to radar applications. This paper develops a channel simulator to generate frequency-modulated continuous-wave (FMCW) waveform multiple inputs multiple outputs (MIMO) radar signals. In the proposed simulation framework, an open-source animation tool called Blender is utilized to model the scenarios and render animations. The ray tracing (RT) engine embedded can trace the radar propagation paths, i.e., the distance and signal strength of each path. The beat signal models of time division multiplexing (TDM)-MIMO are adapted to RT outputs. Finally, the environment-based models are simulated to show the validation.



Abstract:Extreme crowding of electromagnetic spectrum in recent years has led to the emergence of complex challenges in designing sensing and communications systems. Both systems need wide bandwidth to provide a designated quality-of-service thus resulting in competing interests in exploiting the spectrum. Efficient spectrum utilization has led to the emergence of Integrated Sensing and Communications (ISAC) systems, an approach listed for beyond 5G networks. Several seminal works focusing on the physical and medium-access layer as well as system aspects of ISAC have appeared in the literature already. These works largely focus on terrestrial communications and the use of near-earth objects like Unmanned Aerial Vehicles (UAV)s. The focus of this work is to explore the ISAC in the emerging massive Low Earth Orbit (LEO) satellite systems, leveraging on their low latency, density, ubiquitous coverage and ease of integration. In particular, two aspects of the ISAC: opportunistic and optimized will be highlighted in this work through the use of LEO satellites for positioning as well as the use of Rate-Splitting Multiple Access (RSMA) technique optimized to address sensing and communication requirements.
Abstract:The previous chapters have discussed the canvas of joint radar-communications (JRC), highlighting the key approaches of radar-centric, communications-centric and dual-function radar-communications systems. Several signal processing and related aspects enabling these approaches including waveform design, resource allocation, privacy and security, and intelligent surfaces have been elaborated in detail. These topics offer comprehensive theoretical guarantees and algorithms. However, they are largely based on theoretical models. A hardware validation of these techniques would lend credence to the results while enabling their embrace by industry. To this end, this chapter presents some of the prototyping initiatives that address some salient aspects of JRC. We describe some existing prototypes to highlight the challenges in design and performance of JRC. We conclude by presenting some avenues that require prototyping support in the future.



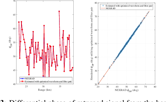
Abstract:Pulse compression can enhance both the performance in range resolution and sensitivity for weather radar. However, it will introduce the issue of high sidelobes if not delicately implemented. Motivated by this fact, we focus on the pulse compression design for weather radar in this paper. Specifically, we jointly design both the subpulse codes and extended mismatch filter based on the alternating direction method of multipliers (ADMM). This joint design will yield a pulse compression with low sidelobes, which equivalently implies a high signal-to-interference-plus-noise ratio (SINR) and a low estimation error on meteorological reflectivity. The experiment results demonstrate the efficacy of the proposed pulse compression strategy since its achieved meteorological reflectivity estimations are highly similar to the ground truth.




Abstract:Dynamic target detection using FMCW waveform is challenging in the presence of interference for different radar applications. Degradation in SNR is irreparable and interference is difficult to mitigate in time and frequency domain. In this paper, a waveform design problem is addressed using the Majorization-Minimization (MM) framework by considering PSL/ISL cost functions, resulting in a code sequence with Doppler-tolerance characteristics of an FMCW waveform and interference immune characteristics of a tailored PMCW waveform (unique phase code + minimal ISL/PSL). The optimal design sequences possess polynomial phase behavior of degree Q amongst its sub-sequences and obtain optimal ISL and PSL solutions with guaranteed convergence. By tuning the optimization parameters such as degree Q of the polynomial phase behavior, sub-sequence length M and the total number of sub-sequences L, the optimized sequences can be as Doppler tolerant as FMCW waveform in one end, and they can possess small cross-correlation values similar to random-phase sequences in PMCW waveform on the other end. If required in the event of acute interference, new codes can be generated in the runtime which have low cross-correlation with the interferers. The performance analysis indicates that the proposed method outperforms the state-of-the-art counterparts.




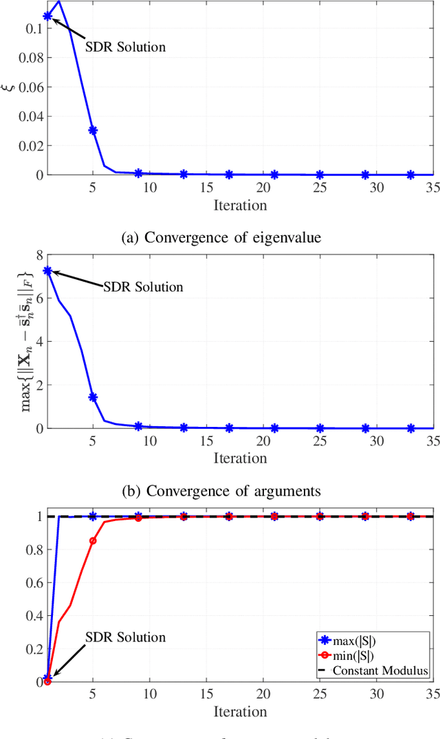
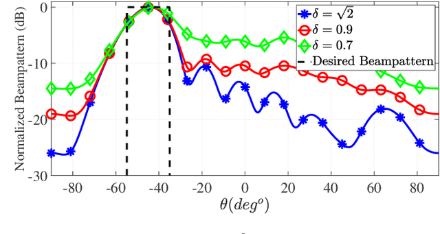
Abstract:Designing unimodular waveforms with a desired beampattern, spectral occupancy and orthogonality level is of vital importance in the next generation Multiple-Input Multiple-Output (MIMO) radar systems. Motivated by this fact, in this paper, we propose a framework for shaping the beampattern in MIMO radar systems under the constraints simultaneously ensuring unimodularity, desired spectral occupancy and orthogonality of the designed waveform. In this manner, the proposed framework is the most comprehensive approach for MIMO radar waveform design focusing on beampattern shaping. The problem formulation leads to a non-convex quadratic fractional programming. We propose an effective iterative to solve the problem, where each iteration is composed of a Semi-Definite Programming (SDP) followed by eigenvalue decomposition. Some numerical simulations are provided to illustrate the superior performance of our proposed over the state-of-the-art.


Abstract:Sequences having better autocorrelation properties play a crucial role in enhancing the performance of active sensing systems. Hence, sequences with good autocorrelation properties are very much in demand. In this paper, we addressed the problem of designing a unimodular sequence having better side-lobe levels. We formulated it as a constrained optimization problem comprising the Integrated Side-lobe Level (ISL) metric and then proposed an effective algorithm (named UNIPOL - UNImodular sequence design via a separable iterative POLynomial optimization) where we perform the polynomial optimization at every iteration. The novelty of the paper comes from deriving a quartic majorization function that is separable in the sequence variables and that can be minimized parallelly. To evaluate the performance of our proposed algorithm we perform the numerical experiments for different sequence lengths and confirm that our proposed algorithm is the fastest algorithm to attain an actual optimum minimizer of the ISL metric. Our proposed algorithm is also computationally efficient due to its ease of implementation using the FFT, IFFT operations in a parallel fashion.




Abstract:Multiple-input multiple-output (MIMO) radars transmit a set of sequences that exhibit small cross-correlation sidelobes, to enhance sensing performance by separating them at the matched filter outputs. The waveforms also require small auto-correlation sidelobes to avoid masking of weak targets by the range sidelobes of strong targets and to mitigate deleterious effects of distributed clutter. In light of these requirements, in this paper, we design a set of phase-only (constant modulus) sequences that exhibit near-optimal properties in terms of Peak Sidelobe Level (PSL) and Integrated Sidelobe Level (ISL). At the design stage, we adopt weighted lp-norm of auto- and cross-correlation sidelobes as the objective function and minimize it for a general p value, using block successive upper bound minimization (BSUM). Considering the limitation of radar amplifiers, we design unimodular sequences which make the design problem non-convex and NP-hard. To tackle the problem, in every iteration of the BSUM algorithm, we introduce different local approximation functions and optimize them concerning a block, containing a code entry or a code vector. The numerical results show that the performance of the optimized set of sequences outperforms the state-of-the-art counterparts, in both terms of PSL values and computational time.




Abstract:New generation of radar systems will need to coexist with other radio frequency (RF) systems, anticipating their behavior and reacting appropriately to avoid interference. In light of this requirement, this paper designs, implements, and evaluates the performance of phase-only sequences (with constant power) for intelligent spectrum utilization using the custom built cognitive Multiple Input Multiple Output (MIMO) radar prototype. The proposed transmit waveforms avoid the frequency bands occupied by narrowband interferers or communication links, while simultaneously have a small cross-correlation among each other to enable their separability at the MIMO radar receiver. The performance of the optimized set of sequences obtained through solving a non-convex bi-objective optimization problem, is compared with the state-of-the-art counterparts, and its applicability is illustrated by the developed prototype. A realistic Long Term Evolution (LTE) downlink is used for the communications, and the real-time system implementation is validated and evaluated through the throughput calculations for communications and the detection performance measurement for the radar system.