Abstract:Near-field sensing with extremely large-scale antenna arrays (ELAAs) in practical 6G systems is expected to operate over broad bandwidths, where delay, Doppler, and spatial effects become tightly coupled across frequency. The purpose of this and the companion paper (Part I) is to develop the unified Cram'er--Rao bounds (CRBs) for sensing systems spanning from far-field to near-field, and narrow-band to wide-band. This paper (Part II) derives fundamental estimation limits for a wide-band near-field sensing systems employing orthogonal frequency-division multiplexing signaling over a coherent processing interval. We establish an exact near-field wide-band signal model that captures frequency-dependent propagation, spherical-wave geometry, and the intrinsic coupling between target location and motion parameters across subcarriers and slow time. Similar as Part I using the Slepian--Bangs formulation, we derive the wide-band Fisher information matrix and the CRBs for joint estimation of target position, velocity, and radar cross-section, and we show how wide-band information aggregates across orthogonal subcarriers. We further develop tractable far-field and near-field approximations which provide design-level insights into the roles of bandwidth, coherent integration length, and array aperture, and clarify when wide-band effects. Simulation results validate the derived CRBs and its approximations, demonstrating close agreement with the analytical scaling laws across representative ranges, bandwidths, and array configurations.
Abstract:A cognitive fully adaptive radar (CoFAR) adapts its behavior on its own within a short period of time in response to changes in the target environment. For the CoFAR to function properly, it is critical to understand its operating environment through estimation of the clutter channel impulse response (CCIR). In general, CCIR is sparse but prior works either ignore it or estimate the CCIR by imposing sparsity as an explicit constraint in their optimization problem. In this paper, contrary to these studies, we develop covariance-free Bayesian learning (CoFBL) techniques for estimating sparse CCIR in a CoFAR system. In particular, we consider a multiple measurement vector scenario and estimate a simultaneously sparse (row sparse) CCIR matrix. Our CoFBL framework reduces the complexity of conventional sparse Bayesian learning through the use of the diagonal element estimation rule and conjugate gradient descent algorithm. We show that the framework is applicable to various forms of CCIR sparsity models: group, joint, and joint-cum-group. We evaluate our method through numerical experiments on a data set generated using RFView, a high-fidelity modeling and simulation tool. We derive Bayesian Cram\'{e}r-Rao bounds for the various considered scenarios to benchmark the performance of our algorithms. Our results demonstrate that the proposed CoFBL-based approaches perform better than the existing popular approaches such as multiple focal underdetermined system solver and simultaneous orthogonal matching pursuit.



Abstract:Extreme crowding of electromagnetic spectrum in recent years has led to the emergence of complex challenges in designing sensing and communications systems. Both systems need wide bandwidth to provide a designated quality-of-service thus resulting in competing interests in exploiting the spectrum. Efficient spectrum utilization has led to the emergence of Integrated Sensing and Communications (ISAC) systems, an approach listed for beyond 5G networks. Several seminal works focusing on the physical and medium-access layer as well as system aspects of ISAC have appeared in the literature already. These works largely focus on terrestrial communications and the use of near-earth objects like Unmanned Aerial Vehicles (UAV)s. The focus of this work is to explore the ISAC in the emerging massive Low Earth Orbit (LEO) satellite systems, leveraging on their low latency, density, ubiquitous coverage and ease of integration. In particular, two aspects of the ISAC: opportunistic and optimized will be highlighted in this work through the use of LEO satellites for positioning as well as the use of Rate-Splitting Multiple Access (RSMA) technique optimized to address sensing and communication requirements.
Abstract:The previous chapters have discussed the canvas of joint radar-communications (JRC), highlighting the key approaches of radar-centric, communications-centric and dual-function radar-communications systems. Several signal processing and related aspects enabling these approaches including waveform design, resource allocation, privacy and security, and intelligent surfaces have been elaborated in detail. These topics offer comprehensive theoretical guarantees and algorithms. However, they are largely based on theoretical models. A hardware validation of these techniques would lend credence to the results while enabling their embrace by industry. To this end, this chapter presents some of the prototyping initiatives that address some salient aspects of JRC. We describe some existing prototypes to highlight the challenges in design and performance of JRC. We conclude by presenting some avenues that require prototyping support in the future.




Abstract:In millimeter-wave (mmWave) dual-function radar-communication (DFRC) systems, hybrid beamforming (HBF) is recognized as a promising technique utilizing a limited number of radio frequency chains. In this work, in the presence of extended target and clutters, a HBF design based on the subarray connection architecture is proposed for a multiple-input multiple-output (MIMO) DFRC system. In this HBF, the double-phase-shifter (DPS) structure is embedded to further increase the design flexibility. We derive the communication spectral efficiency (SE) and radar signal-to-interference-plus-noise-ratio (SINR) with respect to the transmit HBF and radar receiver, and formulate the HBF design problem as the SE maximization subjecting to the radar SINR and power constraints. To solve the formulated nonconvex problem, the joinT Hybrid bRamforming and Radar rEceiver OptimizatioN (THEREON) is proposed, in which the radar receiver is optimized via the generalized eigenvalue decomposition, and the transmit HBF is updated with low complexity in a parallel manner using the consensus alternating direction method of multipliers (consensus-ADMM). Furthermore, we extend the proposed method to the multi-user multiple-input single-output (MU-MISO) scenario. Numerical simulations demonstrate the efficacy of the proposed algorithm and show that the solution provides a good trade-off between number of phase shifters and performance gain of the DPS HBF.




Abstract:Source localization plays a key role in many applications including radar, wireless and underwater communications. Among various localization methods, the most popular ones are Time-Of-Arrival (TOA), Time-Difference-Of-Arrival (TDOA), and Received Signal Strength (RSS) based. Since the Cram\'{e}r-Rao lower bounds (CRLB) of these methods depend on the sensor geometry explicitly, sensor placement becomes a crucial issue in source localization applications. In this paper, we consider finding the optimal sensor placements for the TOA, TDOA and RSS based localization scenarios. We first unify the three localization models by a generalized problem formulation based on the CRLB-related metric. Then a unified optimization framework for optimal sensor placement (UTMOST) is developed through the combination of the alternating direction method of multipliers (ADMM) and majorization-minimization (MM) techniques. Unlike the majority of the state-of-the-art works, the proposed UTMOST neither approximates the design criterion nor considers only uncorrelated noise in the measurements. It can readily adapt to to different design criteria (i.e. A, D and E-optimality) with slight modifications within the framework and yield the optimal sensor placements correspondingly. Extensive numerical experiments are performed to exhibit the efficacy and flexibility of the proposed framework.




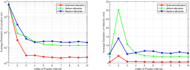
Abstract:Optimal allocation of shared resources is key to deliver the promise of jointly operating radar and communications systems. In this paper, unlike prior works which examine synergistic access to resources in colocated joint radar-communications or among identical systems, we investigate this problem for a distributed system comprising heterogeneous radars and multi-tier communications. In particular, we focus on resource allocation in the context of multi-target tracking (MTT) while maintaining stable communication connections. By simultaneously allocating the available power, dwell time and shared bandwidth, we improve the MTT performance under a Bayesian tracking framework and guarantee the communications throughput. Our alternating allocation of heterogeneous resources (ANCHOR) approach solves the resulting nonconvex problem based on the alternating optimization method that monotonically improves the Bayesian Cram\'er-Rao bound. Numerical experiments demonstrate that ANCHOR significant improves the tracking error over two baseline allocations and stability under different target scenarios and radar-communications network distributions.




Abstract:Due to spectrum scarcity, the coexistence of radar and wireless communication has gained substantial research interest recently. Among many scenarios, the heterogeneouslydistributed joint radar-communication system is promising due to its flexibility and compatibility of existing architectures. In this paper, we focus on a heterogeneous radar and communication network (HRCN), which consists of various generic radars for multiple target tracking (MTT) and wireless communications for multiple users. We aim to improve the MTT performance and maintain good throughput levels for communication users by a well-designed resource allocation. The problem is formulated as a Bayesian Cram\'er-Rao bound (CRB) based minimization subjecting to resource budgets and throughput constraints. The formulated nonconvex problem is solved based on an alternating descent-ascent approach. Numerical results demonstrate the efficacy of the proposed allocation scheme for this heterogeneous network.