RIKEN AIP




Abstract:This paper describes a practical dual-process speech enhancement system that adapts environment-sensitive frame-online beamforming (front-end) with help from environment-free block-online source separation (back-end). To use minimum variance distortionless response (MVDR) beamforming, one may train a deep neural network (DNN) that estimates time-frequency masks used for computing the covariance matrices of sources (speech and noise). Backpropagation-based run-time adaptation of the DNN was proposed for dealing with the mismatched training-test conditions. Instead, one may try to directly estimate the source covariance matrices with a state-of-the-art blind source separation method called fast multichannel non-negative matrix factorization (FastMNMF). In practice, however, neither the DNN nor the FastMNMF can be updated in a frame-online manner due to its computationally-expensive iterative nature. Our DNN-free system leverages the posteriors of the latest source spectrograms given by block-online FastMNMF to derive the current source covariance matrices for frame-online beamforming. The evaluation shows that our frame-online system can quickly respond to scene changes caused by interfering speaker movements and outperformed an existing block-online system with DNN-based beamforming by 5.0 points in terms of the word error rate.




Abstract:This paper describes the practical response- and performance-aware development of online speech enhancement for an augmented reality (AR) headset that helps a user understand conversations made in real noisy echoic environments (e.g., cocktail party). One may use a state-of-the-art blind source separation method called fast multichannel nonnegative matrix factorization (FastMNMF) that works well in various environments thanks to its unsupervised nature. Its heavy computational cost, however, prevents its application to real-time processing. In contrast, a supervised beamforming method that uses a deep neural network (DNN) for estimating spatial information of speech and noise readily fits real-time processing, but suffers from drastic performance degradation in mismatched conditions. Given such complementary characteristics, we propose a dual-process robust online speech enhancement method based on DNN-based beamforming with FastMNMF-guided adaptation. FastMNMF (back end) is performed in a mini-batch style and the noisy and enhanced speech pairs are used together with the original parallel training data for updating the direction-aware DNN (front end) with backpropagation at a computationally-allowable interval. This method is used with a blind dereverberation method called weighted prediction error (WPE) for transcribing the noisy reverberant speech of a speaker, which can be detected from video or selected by a user's hand gesture or eye gaze, in a streaming manner and spatially showing the transcriptions with an AR technique. Our experiment showed that the word error rate was improved by more than 10 points with the run-time adaptation using only twelve minutes of observation.


Abstract:This paper describes noisy speech recognition for an augmented reality headset that helps verbal communication within real multiparty conversational environments. A major approach that has actively been studied in simulated environments is to sequentially perform speech enhancement and automatic speech recognition (ASR) based on deep neural networks (DNNs) trained in a supervised manner. In our task, however, such a pretrained system fails to work due to the mismatch between the training and test conditions and the head movements of the user. To enhance only the utterances of a target speaker, we use beamforming based on a DNN-based speech mask estimator that can adaptively extract the speech components corresponding to a head-relative particular direction. We propose a semi-supervised adaptation method that jointly updates the mask estimator and the ASR model at run-time using clean speech signals with ground-truth transcriptions and noisy speech signals with highly-confident estimated transcriptions. Comparative experiments using the state-of-the-art distant speech recognition system show that the proposed method significantly improves the ASR performance.




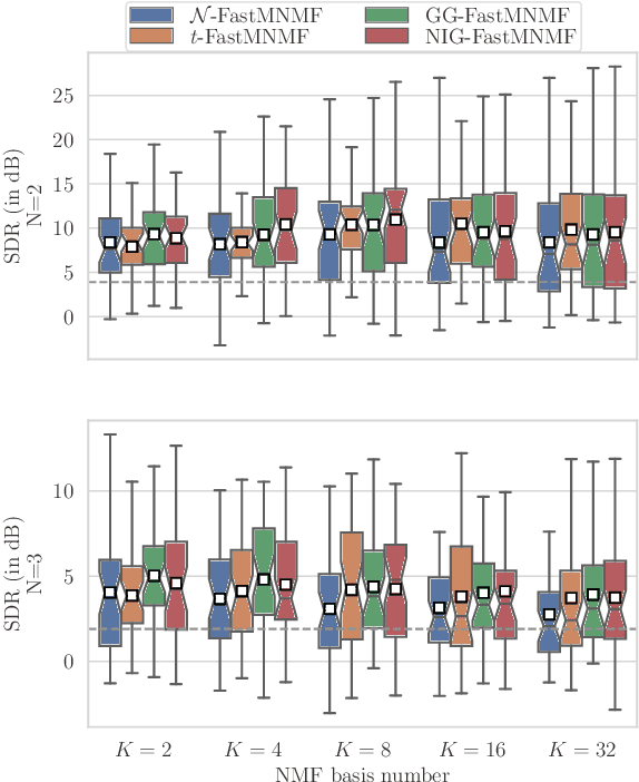
Abstract:This paper describes heavy-tailed extensions of a state-of-the-art versatile blind source separation method called fast multichannel nonnegative matrix factorization (FastMNMF) from a unified point of view. The common way of deriving such an extension is to replace the multivariate complex Gaussian distribution in the likelihood function with its heavy-tailed generalization, e.g., the multivariate complex Student's t and leptokurtic generalized Gaussian distributions, and tailor-make the corresponding parameter optimization algorithm. Using a wider class of heavy-tailed distributions called a Gaussian scale mixture (GSM), i.e., a mixture of Gaussian distributions whose variances are perturbed by positive random scalars called impulse variables, we propose GSM-FastMNMF and develop an expectationmaximization algorithm that works even when the probability density function of the impulse variables have no analytical expressions. We show that existing heavy-tailed FastMNMF extensions are instances of GSM-FastMNMF and derive a new instance based on the generalized hyperbolic distribution that include the normal-inverse Gaussian, Student's t, and Gaussian distributions as the special cases. Our experiments show that the normalinverse Gaussian FastMNMF outperforms the state-of-the-art FastMNMF extensions and ILRMA model in speech enhancement and separation in terms of the signal-to-distortion ratio.




Abstract:This paper proposes an approach to the joint modeling of the short-time Fourier transform magnitude and phase spectrograms with a deep generative model. We assume that the magnitude follows a Gaussian distribution and the phase follows a von Mises distribution. To improve the consistency of the phase values in the time-frequency domain, we also apply the von Mises distribution to the phase derivatives, i.e., the group delay and the instantaneous frequency. Based on these assumptions, we explore and compare several combinations of loss functions for training our models. Built upon the variational autoencoder framework, our model consists of three convolutional neural networks acting as an encoder, a magnitude decoder, and a phase decoder. In addition to the latent variables, we propose to also condition the phase estimation on the estimated magnitude. Evaluated for a time-domain speech reconstruction task, our models could generate speech with a high perceptual quality and a high intelligibility.


Abstract:This paper describes a versatile method that accelerates multichannel source separation methods based on full-rank spatial modeling. A popular approach to multichannel source separation is to integrate a spatial model with a source model for estimating the spatial covariance matrices (SCMs) and power spectral densities (PSDs) of each sound source in the time-frequency domain. One of the most successful examples of this approach is multichannel nonnegative matrix factorization (MNMF) based on a full-rank spatial model and a low-rank source model. MNMF, however, is computationally expensive and often works poorly due to the difficulty of estimating the unconstrained full-rank SCMs. Instead of restricting the SCMs to rank-1 matrices with the severe loss of the spatial modeling ability as in independent low-rank matrix analysis (ILRMA), we restrict the SCMs of each frequency bin to jointly-diagonalizable but still full-rank matrices. For such a fast version of MNMF, we propose a computationally-efficient and convergence-guaranteed algorithm that is similar in form to that of ILRMA. Similarly, we propose a fast version of a state-of-the-art speech enhancement method based on a deep speech model and a low-rank noise model. Experimental results showed that the fast versions of MNMF and the deep speech enhancement method were several times faster and performed even better than the original versions of those methods, respectively.