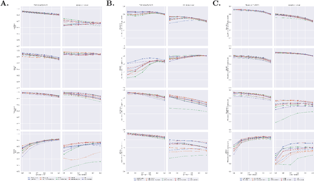
Abstract:Clinicians often need to retrieve patient-specific information from electronic health records (EHRs), a task that is time-consuming and error-prone. We present a locally deployable Clinical Contextual Question Answering (CCQA) framework that answers clinical questions directly from EHRs without external data transfer. Open-source large language models (LLMs) ranging from 4B to 70B parameters were benchmarked under fully offline conditions using 1,664 expert-annotated question-answer pairs derived from records of 183 patients. The dataset consisted predominantly of Finnish clinical text. In free-text generation, Llama-3.1-70B achieved 95.3% accuracy and 97.3% consistency across semantically equivalent question variants, while the smaller Qwen3-30B-A3B-2507 model achieved comparable performance. In a multiple-choice setting, models showed similar accuracy but variable calibration. Low-precision quantization (4-bit and 8-bit) preserved predictive performance while reducing GPU memory requirements and improving deployment feasibility. Clinical evaluation identified clinically significant errors in 2.9% of outputs, and semantically equivalent questions occasionally yielded discordant responses, including instances where one formulation was correct and the other contained a clinically significant error (0.96% of cases). These findings demonstrate that locally hosted open-source LLMs can accurately retrieve patient-specific information from EHRs using natural-language queries, while highlighting the need for validation and human oversight in clinical deployment.
Abstract:Graph neural networks (GNNs) have emerged as a state-of-the-art data-driven tool for modeling connectivity data of graph-structured complex networks and integrating information of their nodes and edges in space and time. However, as of yet, the analysis of social networks using the time series of people's mobile connectivity data has not been extensively investigated. In the present study, we investigate four snapshot - based temporal GNNs in predicting the phone call and SMS activity between users of a mobile communication network. In addition, we develop a simple non - GNN baseline model using recently proposed EdgeBank method. Our analysis shows that the ROLAND temporal GNN outperforms the baseline model in most cases, whereas the other three GNNs perform on average worse than the baseline. The results show that GNN based approaches hold promise in the analysis of temporal social networks through mobile connectivity data. However, due to the relatively small performance margin between ROLAND and the baseline model, further research is required on specialized GNN architectures for temporal social network analysis.




Abstract:The main treatment modality for oropharyngeal cancer (OPC) is radiotherapy, where accurate segmentation of the primary gross tumor volume (GTVp) is essential. However, accurate GTVp segmentation is challenging due to significant interobserver variability and the time-consuming nature of manual annotation, while fully automated methods can occasionally fail. An interactive deep learning (DL) model offers the advantage of automatic high-performance segmentation with the flexibility for user correction when necessary. In this study, we examine interactive DL for GTVp segmentation in OPC. We implement state-of-the-art algorithms and propose a novel two-stage Interactive Click Refinement (2S-ICR) framework. Using the 2021 HEad and neCK TumOR (HECKTOR) dataset for development and an external dataset from The University of Texas MD Anderson Cancer Center for evaluation, the 2S-ICR framework achieves a Dice similarity coefficient of 0.713 $\pm$ 0.152 without user interaction and 0.824 $\pm$ 0.099 after five interactions, outperforming existing methods in both cases.




Abstract:Deep learning approach has been demonstrated to automatically segment the bilateral mandibular canals from CBCT scans, yet systematic studies of its clinical and technical validation are scarce. To validate the mandibular canal localization accuracy of a deep learning system (DLS) we trained it with 982 CBCT scans and evaluated using 150 scans of five scanners from clinical workflow patients of European and Southeast Asian Institutes, annotated by four radiologists. The interobserver variability was compared to the variability between the DLS and the radiologists. In addition, the generalization of DLS to CBCT scans from scanners not used in the training data was examined to evaluate the out-of-distribution generalization capability. The DLS had lower variability to the radiologists than the interobserver variability between them and it was able to generalize to three new devices. For the radiologists' consensus segmentation, used as gold standard, the DLS had a symmetric mean curve distance of 0.39 mm compared to those of the individual radiologists with 0.62 mm, 0.55 mm, 0.47 mm, and 0.42 mm. The DLS showed comparable or slightly better performance in the segmentation of the mandibular canal with the radiologists and generalization capability to new scanners.




Abstract:Automatic classification of diabetic retinopathy from retinal images has been widely studied using deep neural networks with impressive results. However, there is a clinical need for estimation of the uncertainty in the classifications, a shortcoming of modern neural networks. Recently, approximate Bayesian deep learning methods have been proposed for the task but the studies have only considered the binary referable/non-referable diabetic retinopathy classification applied to benchmark datasets. We present novel results by systematically investigating a clinical dataset and a clinically relevant 5-class classification scheme, in addition to benchmark datasets and the binary classification scheme. Moreover, we derive a connection between uncertainty measures and classifier risk, from which we develop a new uncertainty measure. We observe that the previously proposed entropy-based uncertainty measure generalizes to the clinical dataset on the binary classification scheme but not on the 5-class scheme, whereas our new uncertainty measure generalizes to the latter case.




Abstract:Cyber intelligence is widely and abundantly available in numerous open online sources with reports on vulnerabilities and incidents. This constant stream of noisy information requires new tools and techniques if it is to be used for the benefit of analysts and investigators in various organizations. In this paper we present and implement a novel knowledge graph and knowledge mining framework for extracting relevant information from free-form text about incidents in the cyber domain. Our framework includes a machine learning based pipeline as well as crawling methods for generating graphs of entities, attackers and the related information with our non-technical cyber ontology. We test our framework on publicly available cyber incident datasets to evaluate the accuracy of our knowledge mining methods as well as the usefulness of the framework in the use of cyber analysts. Our results show analyzing the knowledge graph constructed using the novel framework, an analyst can infer additional information from the current cyber landscape in terms of risk to various entities and the propagation of risk between industries and countries. Expanding the framework to accommodate more technical and operational level information can increase the accuracy and explainability of trends and risk in the knowledge graph.




Abstract:Diabetes is a globally prevalent disease that can cause visible microvascular complications such as diabetic retinopathy and macular edema in the human eye retina, the images of which are today used for manual disease screening. This labor-intensive task could greatly benefit from automatic detection using deep learning technique. Here we present a deep learning system that identifies referable diabetic retinopathy comparably or better than presented in the previous studies, although we use only a small fraction of images (<1/4) in training but are aided with higher image resolutions. We also provide novel results for five different screening and clinical grading systems for diabetic retinopathy and macular edema classification, including results for accurately classifying images according to clinical five-grade diabetic retinopathy and four-grade diabetic macular edema scales. These results suggest, that a deep learning system could increase the cost-effectiveness of screening while attaining higher than recommended performance, and that the system could be applied in clinical examinations requiring finer grading.