



Abstract:This paper explores the application of large language models (LLMs) in nursing and elderly care, focusing on AI-driven patient monitoring and interaction. We introduce a novel Chinese nursing dataset and implement incremental pre-training (IPT) and supervised fine-tuning (SFT) techniques to enhance LLM performance in specialized tasks. Using LangChain, we develop a dynamic nursing assistant capable of real-time care and personalized interventions. Experimental results demonstrate significant improvements, paving the way for AI-driven solutions to meet the growing demands of healthcare in aging populations.




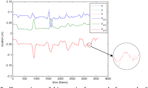
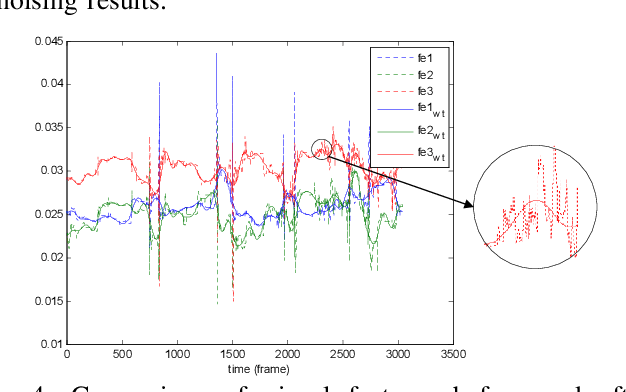
Abstract:To improve the efficiency of surgical trajectory segmentation for robot learning in robot-assisted minimally invasive surgery, this paper presents a fast unsupervised method using video and kinematic data, followed by a promoting procedure to address the over-segmentation issue. Unsupervised deep learning network, stacking convolutional auto-encoder, is employed to extract more discriminative features from videos in an effective way. To further improve the accuracy of segmentation, on one hand, wavelet transform is used to filter out the noises existed in the features from video and kinematic data. On the other hand, the segmentation result is promoted by identifying the adjacent segments with no state transition based on the predefined similarity measurements. Extensive experiments on a public dataset JIGSAWS show that our method achieves much higher accuracy of segmentation than state-of-the-art methods in the shorter time.