Abstract:Nuclear Magnetic Resonance (NMR) spectroscopy is fundamental for molecular structure elucidation, yet interpreting spectra at scale remains time-consuming and highly expertise-dependent. While recent spectrum-as-language modeling and retrieval-based methods have shown promise, they rely heavily on large corpora of computed spectra and exhibit notable performance drops when applied to experimental measurements. To address these issues, we build NMRSpec, a large-scale corpus of experimental $^1$H and $^{13}$C spectra mined from chemical literature, and propose NMRTrans, which models spectra as unordered peak sets and aligns the model's inductive bias with the physical nature of NMR. To our best knowledge, NMRTrans is the first NMR Transformer trained solely on large-scale experimental spectra and achieves state-of-the-art performance on experimental benchmarks, improving Top-10 Accuracy over the strongest baseline by +17.82 points (61.15% vs. 43.33%), and underscoring the importance of experimental data and structure-aware architectures for reliable NMR structure elucidation.
Abstract:Molecular editing and optimization are multi-step problems that require iteratively improving properties while keeping molecules chemically valid and structurally similar. We frame both tasks as sequential, tool-guided decisions and introduce MolAct, an agentic reinforcement learning framework that employs a two-stage training paradigm: first building editing capability, then optimizing properties while reusing the learned editing behaviors. To the best of our knowledge, this is the first work to formalize molecular design as an Agentic Reinforcement Learning problem, where an LLM agent learns to interleave reasoning, tool-use, and molecular optimization. The framework enables agents to interact in multiple turns, invoking chemical tools for validity checking, property assessment, and similarity control, and leverages their feedback to refine subsequent edits. We instantiate the MolAct framework to train two model families: MolEditAgent for molecular editing tasks and MolOptAgent for molecular optimization tasks. In molecular editing, MolEditAgent-7B delivers 100, 95, and 98 valid add, delete, and substitute edits, outperforming strong closed "thinking" baselines such as DeepSeek-R1; MolEditAgent-3B approaches the performance of much larger open "thinking" models like Qwen3-32B-think. In molecular optimization, MolOptAgent-7B (trained on MolEditAgent-7B) surpasses the best closed "thinking" baseline (e.g., Claude 3.7) on LogP and remains competitive on solubility, while maintaining balanced performance across other objectives. These results highlight that treating molecular design as a multi-step, tool-augmented process is key to reliable and interpretable improvements.
Abstract:Foundation models for medical image segmentation struggle under out-of-distribution (OOD) shifts, often producing fragmented false positives on OOD tumors. We introduce R$^{2}$Seg, a training-free framework for robust OOD tumor segmentation that operates via a two-stage Reason-and-Reject process. First, the Reason step employs an LLM-guided anatomical reasoning planner to localize organ anchors and generate multi-scale ROIs. Second, the Reject step applies two-sample statistical testing to candidates generated by a frozen foundation model (BiomedParse) within these ROIs. This statistical rejection filter retains only candidates significantly different from normal tissue, effectively suppressing false positives. Our framework requires no parameter updates, making it compatible with zero-update test-time augmentation and avoiding catastrophic forgetting. On multi-center and multi-modal tumor segmentation benchmarks, R$^{2}$Seg substantially improves Dice, specificity, and sensitivity over strong baselines and the original foundation models. Code are available at https://github.com/Eurekashen/R2Seg.




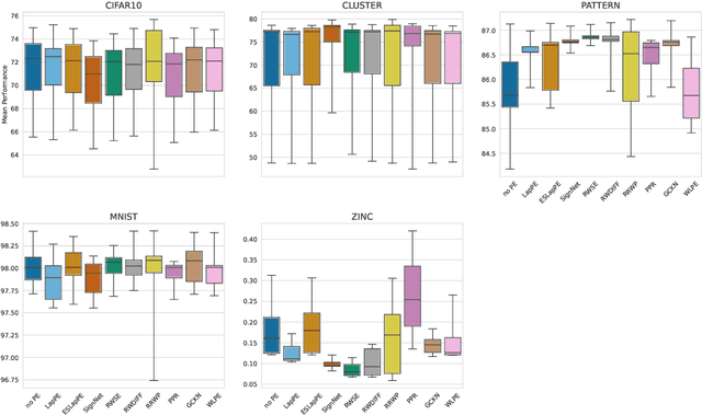
Abstract:Recent advances in Graph Neural Networks (GNNs) and Graph Transformers (GTs) have been driven by innovations in architectures and Positional Encodings (PEs), which are critical for augmenting node features and capturing graph topology. PEs are essential for GTs, where topological information would otherwise be lost without message-passing. However, PEs are often tested alongside novel architectures, making it difficult to isolate their effect on established models. To address this, we present a comprehensive benchmark of PEs in a unified framework that includes both message-passing GNNs and GTs. We also establish theoretical connections between MPNNs and GTs and introduce a sparsified GRIT attention mechanism to examine the influence of global connectivity. Our findings demonstrate that previously untested combinations of GNN architectures and PEs can outperform existing methods and offer a more comprehensive picture of the state-of-the-art. To support future research and experimentation in our framework, we make the code publicly available.




Abstract:In recent years, deep learning has revolutionized the field of protein science, enabling advancements in predicting protein properties, structural folding and interactions. This paper presents DeepProtein, a comprehensive and user-friendly deep learning library specifically designed for protein-related tasks. DeepProtein integrates a couple of state-of-the-art neural network architectures, which include convolutional neural network (CNN), recurrent neural network (RNN), transformer, graph neural network (GNN), and graph transformer (GT). It provides user-friendly interfaces, facilitating domain researchers in applying deep learning techniques to protein data. Also, we curate a benchmark that evaluates these neural architectures on a variety of protein tasks, including protein function prediction, protein localization prediction, and protein-protein interaction prediction, showcasing its superior performance and scalability. Additionally, we provide detailed documentation and tutorials to promote accessibility and encourage reproducible research. This library is extended from a well-known drug discovery library, DeepPurpose and publicly available at https://github.com/jiaqingxie/DeepProtein/tree/main.
Abstract:With the constraint of a no regret follower, will the players in a two-player Stackelberg game still reach Stackelberg equilibrium? We first show when the follower strategy is either reward-average or transform-reward-average, the two players can always get the Stackelberg Equilibrium. Then, we extend that the players can achieve the Stackelberg equilibrium in the two-player game under the no regret constraint. Also, we show a strict upper bound of the follower's utility difference between with and without no regret constraint. Moreover, in constant-sum two-player Stackelberg games with non-regret action sequences, we ensure the total optimal utility of the game remains also bounded.
Abstract:Pretrained language models (LMs) showcase significant capabilities in processing molecular text, while concurrently, message passing neural networks (MPNNs) demonstrate resilience and versatility in the domain of molecular science. Despite these advancements, we find there are limited studies investigating the bidirectional interactions between molecular structures and their corresponding textual representations. Therefore, in this paper, we propose two strategies to evaluate whether an information integration can enhance the performance: contrast learning, which involves utilizing an MPNN to supervise the training of the LM, and fusion, which exploits information from both models. Our empirical analysis reveals that the integration approaches exhibit superior performance compared to baselines when applied to smaller molecular graphs, while these integration approaches do not yield performance enhancements on large scale graphs.




Abstract:Current child face generators are restricted by the limited size of the available datasets. In addition, feature selection can prove to be a significant challenge, especially due to the large amount of features that need to be trained for. To manage these problems, we proposed CADA-GAN, a \textbf{C}ontext-\textbf{A}ware GAN that allows optimal feature extraction, with added robustness from additional \textbf{D}ata \textbf{A}ugmentation. CADA-GAN is adapted from the popular StyleGAN2-Ada model, with attention on augmentation and segmentation of the parent images. The model has the lowest \textit{Mean Squared Error Loss} (MSEloss) on latent feature representations and the generated child image is robust compared with the one that generated from baseline models.




Abstract:Structural features are important features in graph datasets. However, although there are some correlation analysis of features based on covariance, there is no relevant research on exploring structural feature correlation on graphs with graph neural network based models. In this paper, we introduce graph feature to feature (Fea2Fea) prediction pipelines in a low dimensional space to explore some preliminary results on structural feature correlation, which is based on graph neural network. The results show that there exists high correlation between some of the structural features. A non-redundant feature combination with initial node features, which is filtered by graph neural network has improved its classification accuracy in some graph datasets. We compare the difference between concatenation methods on connecting embeddings between features and show that the simplest is the best. We generalize on the synthetic geometric graphs and certify the results on prediction difficulty between two structural features.




Abstract:Cancer has long been a main cause of human death, and the discovery of new drugs and the customization of cancer therapy have puzzled people for a long time. In order to facilitate the discovery of new anti-cancer drugs and the customization of treatment strategy, we seek to predict the response of different anti-cancer drugs with variational autoencoders (VAE) and multi-layer perceptron (MLP).Our model takes as input gene expression data of cancer cell lines and anti-cancer drug molecular data, and encode these data with {\sc {GeneVae}} model, which is an ordinary VAE, and rectified junction tree variational autoencoder ({\sc JtVae}) (\cite{jin2018junction}) model, respectively. Encoded features are processes by a Multi-layer Perceptron (MLP) model to produce a final prediction. We reach an average coefficient of determination ($R^{2} = 0.83$) in predicting drug response on breast cancer cell lines and an average $R^{2} > 0.84$ on pan-cancer cell lines. Additionally, we show that our model can generate unseen effective drug compounds for specific cancer cell lines.