Abstract:In this paper, we propose a novel censoring policy for energy-efficient transmissions in energy-harvesting sensors. The problem is formulated as an infinite-horizon Markov Decision Process (MDP). The objective to be optimized is the expected sum of the importance (utility) of all transmitted messages. Assuming that such importance can be evaluated at the transmitting node, we show that, under certain conditions on the battery model, the optimal censoring policy is a threshold function on the importance value. Specifically, messages are transmitted only if their importance is above a threshold whose value depends on the battery level. Exploiting this property, we propose a model-based stochastic scheme that approximates the optimal solution, with less computational complexity and faster convergence speed than a conventional Q-learning algorithm. Numerical experiments in single-hop and multi-hop networks confirm the analytical advantages of the proposed scheme.





Abstract:In this paper, we deal with distributed estimation problems in diffusion networks with heterogeneous nodes, i.e., nodes that either implement different adaptive rules or differ in some other aspect such as the filter structure or length, or step size. Although such heterogeneous networks have been considered from the first works on diffusion networks, obtaining practical and robust schemes to adaptively adjust the combiners in different scenarios is still an open problem. In this paper, we study a diffusion strategy specially designed and suited to heterogeneous networks. Our approach is based on two key ingredients: 1) the adaptation and combination phases are completely decoupled, so that network nodes keep purely local estimations at all times; and 2) combiners are adapted to minimize estimates of the network mean-square-error. Our scheme is compared with the standard Adapt-then-Combine scheme and theoretically analyzed using energy conservation arguments. Several experiments involving networks with heterogeneous nodes show that the proposed decoupled Adapt-then-Combine approach with adaptive combiners outperforms other state-of-the-art techniques, becoming a competitive approach in these scenarios.




Abstract:We study the relationship between online Gaussian process (GP) regression and kernel least mean squares (KLMS) algorithms. While the latter have no capacity of storing the entire posterior distribution during online learning, we discover that their operation corresponds to the assumption of a fixed posterior covariance that follows a simple parametric model. Interestingly, several well-known KLMS algorithms correspond to specific cases of this model. The probabilistic perspective allows us to understand how each of them handles uncertainty, which could explain some of their performance differences.




Abstract:In this paper, we analyze energy-harvesting adaptive diffusion networks for a distributed estimation problem. In order to wisely manage the available energy resources, we propose a scheme where a censoring algorithm is jointly applied over the diffusion strategy. An energy-aware variation of a diffusion algorithm is used, and a new way of measuring the relevance of the estimates in diffusion networks is proposed in order to apply a subsequent censoring mechanism. Simulation results show the potential benefit of integrating censoring schemes in energy-constrained diffusion networks.




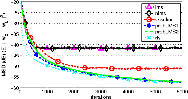
Abstract:We introduce a probabilistic approach to the LMS filter. By means of an efficient approximation, this approach provides an adaptable step-size LMS algorithm together with a measure of uncertainty about the estimation. In addition, the proposed approximation preserves the linear complexity of the standard LMS. Numerical results show the improved performance of the algorithm with respect to standard LMS and state-of-the-art algorithms with similar complexity. The goal of this work, therefore, is to open the door to bring some more Bayesian machine learning techniques to adaptive filtering.
