



Abstract:We propose a saliency-based, multi-target detection and segmentation framework for multi-aspect, semi-coherent imagery formed from circular-scan, synthetic-aperture sonar (CSAS). Our framework relies on a multi-branch, convolutional encoder-decoder network (MB-CEDN). The encoder portion extracts features from one or more CSAS images of the targets. These features are then split off and fed into multiple decoders that perform pixel-level classification on the extracted features to roughly mask the target in an unsupervised-trained manner and detect foreground and background pixels in a supervised-trained manner. Each of these target-detection estimates provide different perspectives as to what constitute a target. These opinions are cascaded into a deep-parsing network to model contextual and spatial constraints that help isolate targets better than either solution estimate alone. We evaluate our framework using real-world CSAS data with five broad target classes. Since we are the first to consider both CSAS target detection and segmentation, we adapt existing image and video-processing network topologies from the literature for comparative purposes. We show that our framework outperforms supervised deep networks. It greatly outperforms state-of-the-art unsupervised approaches for diverse target and seafloor types.




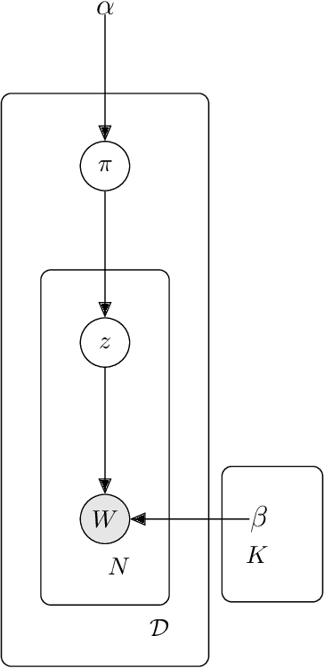
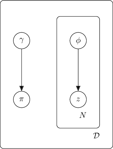
Abstract:Topic models (e.g., pLSA, LDA, sLDA) have been widely used for segmenting imagery. However, these models are confined to crisp segmentation, forcing a visual word (i.e., an image patch) to belong to one and only one topic. Yet, there are many images in which some regions cannot be assigned a crisp categorical label (e.g., transition regions between a foggy sky and the ground or between sand and water at a beach). In these cases, a visual word is best represented with partial memberships across multiple topics. To address this, we present a partial membership latent Dirichlet allocation (PM-LDA) model and an associated parameter estimation algorithm. This model can be useful for imagery where a visual word may be a mixture of multiple topics. Experimental results on visual and sonar imagery show that PM-LDA can produce both crisp and soft semantic image segmentations; a capability previous topic modeling methods do not have.