

Abstract:Large Language Models (LLMs) have gained prominence in the AI landscape due to their exceptional performance. Thus, it is essential to gain a better understanding of their capabilities and limitations, among others in terms of nonmonotonic reasoning. This paper proposes a benchmark that corresponds to various defeasible rule-based reasoning patterns. We modified an existing benchmark for defeasible logic reasoners by translating defeasible rules into text suitable for LLMs. We conducted preliminary experiments on nonmonotonic rule-based reasoning using ChatGPT and compared it with reasoning patterns defined by defeasible logic.
Abstract:Qualitative reasoning involves expressing and deriving knowledge based on qualitative terms such as natural language expressions, rather than strict mathematical quantities. Well over 40 qualitative calculi have been proposed so far, mostly in the spatial and temporal domains, with several practical applications such as naval traffic monitoring, warehouse process optimisation and robot manipulation. Even if a number of specialised qualitative reasoning tools have been developed so far, an important barrier to the wider adoption of these tools is that only qualitative reasoning is supported natively, when real-world problems most often require a combination of qualitative and other forms of reasoning. In this work, we propose to overcome this barrier by using ASP as a unifying formalism to tackle problems that require qualitative reasoning in addition to non-qualitative reasoning. A family of ASP encodings is proposed which can handle any qualitative calculus with binary relations. These encodings are experimentally evaluated using a real-world dataset based on a case study of determining optimal coverage of telecommunication antennas, and compared with the performance of two well-known dedicated reasoners. Experimental results show that the proposed encodings outperform one of the two reasoners, but fall behind the other, an acceptable trade-off given the added benefits of handling any type of reasoning as well as the interpretability of logic programs. This paper is under consideration for acceptance in TPLP.




Abstract:Spatial information is often expressed using qualitative terms such as natural language expressions instead of coordinates; reasoning over such terms has several practical applications, such as bus routes planning. Representing and reasoning on trajectories is a specific case of qualitative spatial reasoning that focuses on moving objects and their paths. In this work, we propose two versions of a trajectory calculus based on the allowed properties over trajectories, where trajectories are defined as a sequence of non-overlapping regions of a partitioned map. More specifically, if a given trajectory is allowed to start and finish at the same region, 6 base relations are defined (TC-6). If a given trajectory should have different start and finish regions but cycles are allowed within, 10 base relations are defined (TC-10). Both versions of the calculus are implemented as ASP programs; we propose several different encodings, including a generalised program capable of encoding any qualitative calculus in ASP. All proposed encodings are experimentally evaluated using a real-world dataset. Experiment results show that the best performing implementation can scale up to an input of 250 trajectories for TC-6 and 150 trajectories for TC-10 for the problem of discovering a consistent configuration, a significant improvement compared to previous ASP implementations for similar qualitative spatial and temporal calculi. This manuscript is under consideration for acceptance in TPLP.




Abstract:An increasing amount of information is generated from the rapidly increasing number of sensor networks and smart devices. A wide variety of sources generate and publish information in different formats, thus highlighting interoperability as one of the key prerequisites for the success of Internet of Things (IoT). The BT Hypercat Data Hub provides a focal point for the sharing and consumption of available datasets from a wide range of sources. In this work, we propose a semantic enrichment of the BT Hypercat Data Hub, using well-accepted Semantic Web standards and tools. We propose an ontology that captures the semantics of the imported data and present the BT SPARQL Endpoint by means of a mapping between SPARQL and SQL queries. Furthermore, federated SPARQL queries allow queries over multiple hub-based and external data sources. Finally, we provide two use cases in order to illustrate the advantages afforded by our semantic approach.



Abstract:Abstract argumentation framework (\AFname) is a unifying framework able to encompass a variety of nonmonotonic reasoning approaches, logic programming and computational argumentation. Yet, efficient approaches for most of the decision and enumeration problems associated to \AFname s are missing, thus potentially limiting the efficacy of argumentation-based approaches in real domains. In this paper, we present an algorithm for enumerating the preferred extensions of abstract argumentation frameworks which exploits parallel computation. To this purpose, the SCC-recursive semantics definition schema is adopted, where extensions are defined at the level of specific sub-frameworks. The algorithm shows significant performance improvements in large frameworks, in terms of number of solutions found and speedup.



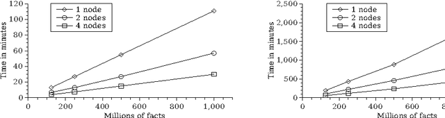
Abstract:Data originating from the Web, sensor readings and social media result in increasingly huge datasets. The so called Big Data comes with new scientific and technological challenges while creating new opportunities, hence the increasing interest in academia and industry. Traditionally, logic programming has focused on complex knowledge structures/programs, so the question arises whether and how it can work in the face of Big Data. In this paper, we examine how the well-founded semantics can process huge amounts of data through mass parallelization. More specifically, we propose and evaluate a parallel approach using the MapReduce framework. Our experimental results indicate that our approach is scalable and that well-founded semantics can be applied to billions of facts. To the best of our knowledge, this is the first work that addresses large scale nonmonotonic reasoning without the restriction of stratification for predicates of arbitrary arity. To appear in Theory and Practice of Logic Programming (TPLP).