Abstract:Three-dimensional reconstruction of buildings, particularly at Level of Detail 1 (LOD1), plays a crucial role in various applications such as urban planning, urban environmental studies, and designing optimized transportation networks. This study focuses on assessing the potential of LiDAR data for accurate 3D building reconstruction at LOD1 and extracting morphological features from these models. Four deep semantic segmentation models, U-Net, Attention U-Net, U-Net3+, and DeepLabV3+, were used, applying transfer learning to extract building footprints from LiDAR data. The results showed that U-Net3+ and Attention U-Net outperformed the others, achieving IoU scores of 0.833 and 0.814, respectively. Various statistical measures, including maximum, range, mode, median, and the 90th percentile, were used to estimate building heights, resulting in the generation of 3D models at LOD1. As the main contribution of the research, the impact of segmentation accuracy on the quality of 3D building modeling and the accuracy of morphological features like building area and external wall surface area was investigated. The results showed that the accuracy of building identification (segmentation performance) significantly affects the 3D model quality and the estimation of morphological features, depending on the height calculation method. Overall, the UNet3+ method, utilizing the 90th percentile and median measures, leads to accurate height estimation of buildings and the extraction of morphological features.
Abstract:This study investigates the multifaceted factors influencing wildfire risk in Iran, focusing on the interplay between climatic conditions and human activities. Utilizing advanced remote sensing, geospatial information system (GIS) processing techniques such as cloud computing, and machine learning algorithms, this research analyzed the impact of climatic parameters, topographic features, and human-related factors on wildfire susceptibility assessment and prediction in Iran. Multiple scenarios were developed for this purpose based on the data sampling strategy. The findings revealed that climatic elements such as soil moisture, temperature, and humidity significantly contribute to wildfire susceptibility, while human activities-particularly population density and proximity to powerlines-also played a crucial role. Furthermore, the seasonal impact of each parameter was separately assessed during warm and cold seasons. The results indicated that human-related factors, rather than climatic variables, had a more prominent influence during the seasonal analyses. This research provided new insights into wildfire dynamics in Iran by generating high-resolution wildfire susceptibility maps using advanced machine learning classifiers. The generated maps identified high risk areas, particularly in the central Zagros region, the northeastern Hyrcanian Forest, and the northern Arasbaran forest, highlighting the urgent need for effective fire management strategies.
Abstract:This paper presents a novel framework for prioritizing urban green space development in Tehran using diverse socio-economic, environmental, and sensitivity indices. The indices were derived from various sources including Google Earth Engine, air pollution measurements, municipal reports and the Weather Research & Forecasting (WRF) model. The WRF model was used to estimate the air temperature at a 1 km resolution due to insufficient meteorological stations, yielding RMSE and MAE values of 0.96{\deg}C and 0.92{\deg}C, respectively. After data preparation, several machine learning models were used for binary vegetation cover classification including XGBoost, LightGBM, Random Forest (RF) and Extra Trees. RF achieved the highest performance, exceeding 94% in Overall Accuracy, Recall, and F1-score. Then, the probability of areas lacking vegetation cover was assessed using socio-economic, environmental and sensitivity indices. This resulted in the RF generating an urban green space development prioritization map. Feature Importance Analysis revealed that the most significant indices were nightly land surface temperature (LST) and sensitive population. Finally, the framework performance was validated through microclimate simulation to assess the critical areas after and before the green space development by green roofs. The simulation demonstrated reducing air temperature by up to 0.67{\deg}C after utilizing the green roof technology in critical areas. As a result, this framework provides a valuable tool for urban planners to develop green spaces.




Abstract:Climate models lack the necessary resolution for urban climate studies, requiring computationally intensive processes to estimate high resolution air temperatures. In contrast, Data-driven approaches offer faster and more accurate air temperature downscaling. This study presents a data-driven framework for downscaling air temperature using publicly available outputs from urban climate models, specifically datasets generated by UrbClim. The proposed framework utilized morphological features extracted from LiDAR data. To extract urban morphological features, first a three-dimensional building model was created using LiDAR data and deep learning models. Then, these features were integrated with meteorological parameters such as wind, humidity, etc., to downscale air temperature using machine learning algorithms. The results demonstrated that the developed framework effectively extracted urban morphological features from LiDAR data. Deep learning algorithms played a crucial role in generating three-dimensional models for extracting the aforementioned features. Also, the evaluation of air temperature downscaling results using various machine learning models indicated that the LightGBM model had the best performance with an RMSE of 0.352{\deg}K and MAE of 0.215{\deg}K. Furthermore, the examination of final air temperature maps derived from downscaling showed that the developed framework successfully estimated air temperatures at higher resolutions, enabling the identification of local air temperature patterns at street level. The corresponding source codes are available on GitHub: https://github.com/FatemehCh97/Air-Temperature-Downscaling.
Abstract:Crop classification using remote sensing data has emerged as a prominent research area in recent decades. Studies have demonstrated that fusing SAR and optical images can significantly enhance the accuracy of classification. However, a major challenge in this field is the limited availability of training data, which adversely affects the performance of classifiers. In agricultural regions, the dominant crops typically consist of one or two specific types, while other crops are scarce. Consequently, when collecting training samples to create a map of agricultural products, there is an abundance of samples from the dominant crops, forming the majority classes. Conversely, samples from other crops are scarce, representing the minority classes. Addressing this issue requires overcoming several challenges and weaknesses associated with traditional data generation methods. These methods have been employed to tackle the imbalanced nature of the training data. Nevertheless, they still face limitations in effectively handling the minority classes. Overall, the issue of inadequate training data, particularly for minority classes, remains a hurdle that traditional methods struggle to overcome. In this research, We explore the effectiveness of conditional tabular generative adversarial network (CTGAN) as a synthetic data generation method based on a deep learning network, in addressing the challenge of limited training data for minority classes in crop classification using the fusion of SAR-optical data. Our findings demonstrate that the proposed method generates synthetic data with higher quality that can significantly increase the number of samples for minority classes leading to better performance of crop classifiers.
Abstract:High resolution mapping of PM2.5 concentration over Tehran city is challenging because of the complicated behavior of numerous sources of pollution and the insufficient number of ground air quality monitoring stations. Alternatively, high resolution satellite Aerosol Optical Depth (AOD) data can be employed for high resolution mapping of PM2.5. For this purpose, different data-driven methods have been used in the literature. Recently, deep learning methods have demonstrated their ability to estimate PM2.5 from AOD data. However, these methods have several weaknesses in solving the problem of estimating PM2.5 from satellite AOD data. In this paper, the potential of the deep ensemble forest method for estimating the PM2.5 concentration from AOD data was evaluated. The results showed that the deep ensemble forest method with R2 = 0.74 gives a higher accuracy of PM2.5 estimation than deep learning methods (R2 = 0.67) as well as classic data-driven methods such as random forest (R2 = 0.68). Additionally, the estimated values of PM2.5 using the deep ensemble forest algorithm were used along with ground data to generate a high resolution map of PM2.5. Evaluation of the produced PM2.5 map revealed the good performance of the deep ensemble forest for modeling the variation of PM2.5 in the city of Tehran.
Abstract:Synergetic use of sensors for soil moisture retrieval is attracting considerable interest due to the different advantages of different sensors. Active, passive, and optic data integration could be a comprehensive solution for exploiting the advantages of different sensors aimed at preparing soil moisture maps. Typically, pixel-based methods are used for multi-sensor fusion. Since, different applications need different scales of soil moisture maps, pixel-based approaches are limited for this purpose. Object-based image analysis employing an image object instead of a pixel could help us to meet this need. This paper proposes a segment-based image fusion framework to evaluate the possibility of preparing a multi-scale soil moisture map through integrated Sentinel-1, Sentinel-2, and Soil Moisture Active Passive (SMAP) data. The results confirmed that the proposed methodology was able to improve soil moisture estimation in different scales up to 20% better compared to pixel-based fusion approach.




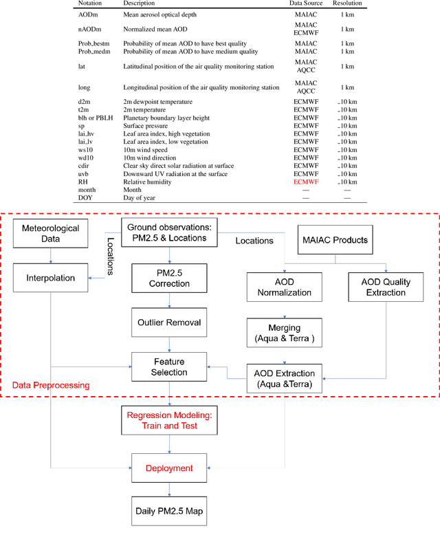
Abstract:This paper investigates the possibility of high resolution mapping of PM2.5 concentration over Tehran city using high resolution satellite AOD (MAIAC) retrievals. For this purpose, a framework including three main stages, data preprocessing; regression modeling; and model deployment was proposed. The output of the framework was a machine learning model trained to predict PM2.5 from MAIAC AOD retrievals and meteorological data. The results of model testing revealed the efficiency and capability of the developed framework for high resolution mapping of PM2.5, which was not realized in former investigations performed over the city. Thus, this study, for the first time, realized daily, 1 km resolution mapping of PM2.5 in Tehran with R2 around 0.74 and RMSE better than 9.0 mg/m3. Keywords: MAIAC; MODIS; AOD; Machine learning; Deep learning; PM2.5; Regression




Abstract:Access to labeled reference data is one of the grand challenges in supervised machine learning endeavors. This is especially true for an automated analysis of remote sensing images on a global scale, which enables us to address global challenges such as urbanization and climate change using state-of-the-art machine learning techniques. To meet these pressing needs, especially in urban research, we provide open access to a valuable benchmark dataset named "So2Sat LCZ42," which consists of local climate zone (LCZ) labels of about half a million Sentinel-1 and Sentinel-2 image patches in 42 urban agglomerations (plus 10 additional smaller areas) across the globe. This dataset was labeled by 15 domain experts following a carefully designed labeling work flow and evaluation process over a period of six months. As rarely done in other labeled remote sensing dataset, we conducted rigorous quality assessment by domain experts. The dataset achieved an overall confidence of 85%. We believe this LCZ dataset is a first step towards an unbiased globallydistributed dataset for urban growth monitoring using machine learning methods, because LCZ provide a rather objective measure other than many other semantic land use and land cover classifications. It provides measures of the morphology, compactness, and height of urban areas, which are less dependent on human and culture. This dataset can be accessed from http://doi.org/10.14459/2018mp1483140.