Abstract:Large language models (LLMs) have proven to work well in question-answering scenarios, but real-world applications often require access to tools for live information or actuation. For this, LLMs can be extended with tools, which are often defined in advance, also allowing for some fine-tuning for specific use cases. However, rapidly evolving software landscapes and individual services require the constant development and integration of new tools. Domain- or company-specific tools can greatly elevate the usefulness of an LLM, but such custom tools can be problematic to integrate, or the LLM may fail to reliably understand and use them. For this, we need strategies to define new tools and integrate them into the LLM dynamically, as well as robust and scalable zero-shot prompting methods that can make use of those tools in an efficient manner. In this paper, we present SAGE, a specialized conversational AI interface, based on the OPACA framework for tool discovery and execution. The integration with OPACA makes it easy to add new tools or services for the LLM to use, while SAGE itself presents rich extensibility and modularity. This not only provides the ability to seamlessly switch between different models (e.g. GPT, LLAMA), but also to add and select prompting methods, involving various setups of differently prompted agents for selecting and executing tools and evaluating the results. We implemented a number of task-solving strategies, making use of agentic concepts and prompting methods in various degrees of complexity, and evaluated those against a comprehensive set of benchmark services. The results are promising and highlight the distinct strengths and weaknesses of different task-solving strategies. Both SAGE and the OPACA framework, as well as the different benchmark services and results, are available as Open Source/Open Data on GitHub.
Abstract:Semi-supervised object detection (SSOD) based on pseudo-labeling significantly reduces dependence on large labeled datasets by effectively leveraging both labeled and unlabeled data. However, real-world applications of SSOD often face critical challenges, including class imbalance, label noise, and labeling errors. We present an in-depth analysis of SSOD under real-world conditions, uncovering causes of suboptimal pseudo-labeling and key trade-offs between label quality and quantity. Based on our findings, we propose four building blocks that can be seamlessly integrated into an SSOD framework. Rare Class Collage (RCC): a data augmentation method that enhances the representation of rare classes by creating collages of rare objects. Rare Class Focus (RCF): a stratified batch sampling strategy that ensures a more balanced representation of all classes during training. Ground Truth Label Correction (GLC): a label refinement method that identifies and corrects false, missing, and noisy ground truth labels by leveraging the consistency of teacher model predictions. Pseudo-Label Selection (PLS): a selection method for removing low-quality pseudo-labeled images, guided by a novel metric estimating the missing detection rate while accounting for class rarity. We validate our methods through comprehensive experiments on autonomous driving datasets, resulting in up to 6% increase in SSOD performance. Overall, our investigation and novel, data-centric, and broadly applicable building blocks enable robust and effective SSOD in complex, real-world scenarios. Code is available at https://mos-ks.github.io/publications.




Abstract:In this paper, we propose and analyse a family of generalised stochastic composite mirror descent algorithms. With adaptive step sizes, the proposed algorithms converge without requiring prior knowledge of the problem. Combined with an entropy-like update-generating function, these algorithms perform gradient descent in the space equipped with the maximum norm, which allows us to exploit the low-dimensional structure of the decision sets for high-dimensional problems. Together with a sampling method based on the Rademacher distribution and variance reduction techniques, the proposed algorithms guarantee a logarithmic complexity dependence on dimensionality for zeroth-order optimisation problems.




Abstract:This paper proposes a new family of algorithms for the online optimisation of composite objectives. The algorithms can be interpreted as the combination of the exponentiated gradient and $p$-norm algorithm. Combined with algorithmic ideas of adaptivity and optimism, the proposed algorithms achieve a sequence-dependent regret upper bound, matching the best-known bounds for sparse target decision variables. Furthermore, the algorithms have efficient implementations for popular composite objectives and constraints and can be converted to stochastic optimisation algorithms with the optimal accelerated rate for smooth objectives.




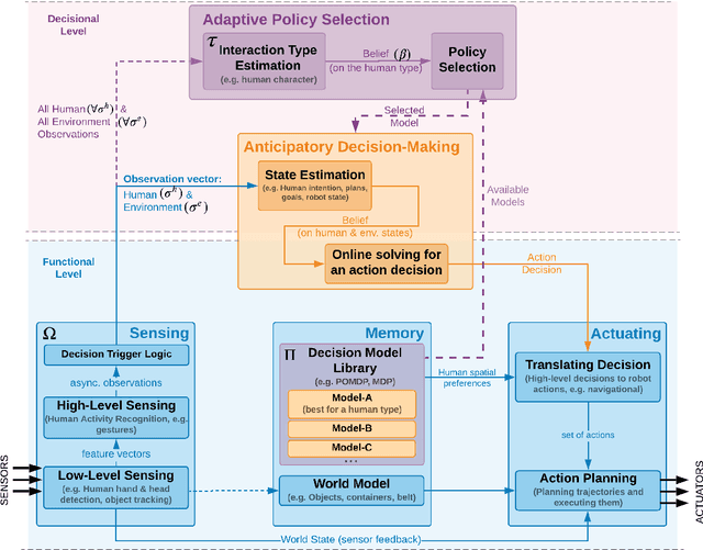
Abstract:A limitation for collaborative robots (cobots) is their lack of ability to adapt to human partners, who typically exhibit an immense diversity of behaviors. We present an autonomous framework as a cobot's real-time decision-making mechanism to anticipate a variety of human characteristics and behaviors, including human errors, toward a personalized collaboration. Our framework handles such behaviors in two levels: 1) short-term human behaviors are adapted through our novel Anticipatory Partially Observable Markov Decision Process (A-POMDP) models, covering a human's changing intent (motivation), availability, and capability; 2) long-term changing human characteristics are adapted by our novel Adaptive Bayesian Policy Selection (ABPS) mechanism that selects a short-term decision model, e.g., an A-POMDP, according to an estimate of a human's workplace characteristics, such as her expertise and collaboration preferences. To design and evaluate our framework over a diversity of human behaviors, we propose a pipeline where we first train and rigorously test the framework in simulation over novel human models. Then, we deploy and evaluate it on our novel physical experiment setup that induces cognitive load on humans to observe their dynamic behaviors, including their mistakes, and their changing characteristics such as their expertise. We conduct user studies and show that our framework effectively collaborates non-stop for hours and adapts to various changing human behaviors and characteristics in real-time. That increases the efficiency and naturalness of the collaboration with a higher perceived collaboration, positive teammate traits, and human trust. We believe that such an extended human adaptation is key to the long-term use of cobots.




Abstract:The deepening penetration of variable energy resources creates unprecedented challenges for system operators (SOs). An issue that merits special attention is the precipitous net load ramps, which require SOs to have flexible capacity at their disposal so as to maintain the supply-demand balance at all times. In the judicious procurement and deployment of flexible capacity, a tool that forecasts net load ramps may be of great assistance to SOs. To this end, we propose a methodology to forecast the magnitude and start time of daily primary three-hour net load ramps. We perform an extensive analysis so as to identify the factors that influence net load and draw on the identified factors to develop a forecasting methodology that harnesses the long short-term memory model. We demonstrate the effectiveness of the proposed methodology on the CAISO system using comparative assessments with selected benchmarks based on various evaluation metrics.


Abstract:Motivated by the problem of tuning hyperparameters in machine learning, we present a new approach for gradually and adaptively optimizing an unknown function using estimated gradients. We validate the empirical performance of the proposed idea on both low and high dimensional problems. The experimental results demonstrate the advantages of our approach for tuning high dimensional hyperparameters in machine learning.