Abstract:Remote sensing change detection (CD) aims to identify where land-cover semantics change across time, but most existing methods still assume a fixed label space and therefore cannot answer arbitrary user-defined queries. Open-vocabulary change detection (OVCD) instead asks for the change mask of a queried concept. In the fully training-free setting, however, dense concept responses are difficult to compare directly across dates: appearance variation, weak cross-concept competition, and the spatial continuity of many land-cover categories often produce noisy, fragmented, and semantically unreliable change evidence. We propose Consistency-Regularized Open-Vocabulary Change Detection (CoRegOVCD), a training-free dense inference framework that reformulates concept-specific change as calibrated posterior discrepancy. Competitive Posterior Calibration (CPC) and the Semantic Posterior Delta (SPD) convert raw concept responses into competition-aware queried-concept posteriors and quantify their cross-temporal discrepancy, making semantic change evidence more comparable without explicit instance matching. Geometry-Token Consistency Gate (GeoGate) and Regional Consensus Discrepancy (RCD) further suppress unsupported responses and improve spatial coherence through geometry-aware structural verification and regional consensus. Across four benchmarks spanning building-oriented and multi-class settings, CoRegOVCD consistently improves over the strongest previous training-free baseline by 2.24 to 4.98 F1$_C$ points and reaches a six-class average of 47.50% F1$_C$ on SECOND.
Abstract:Achieving reliable communication has long been a fundamental challenge in networked systems. Semantic Error Correction (SEC) leverages the semantic understanding capabilities of language models (LMs) to perform application-layer error correction, complementing conventional channel decoding. While promising, existing SEC approaches rely solely on context captured by LMs at the application layer, ignoring the rich information available at the physical layer. To address this limitation, this paper introduces Cross-Layer SEC (CL-SEC), an LM-empowered error correction framework that integrates cross-layer information from both the physical and application layers to jointly correct corrupted words in text communication. Using a Bayesian combination in product form tailored to this framework, CL-SEC achieves significantly improved performance over methods that process information in isolated layers. CL-SEC shows substantial gains across multiple error-correction metrics, including bit-error rate, word-error rate, and semantic fidelity scores. Importantly, unlike most semantic communication systems that focus solely on recovering the semantic meaning of transmitted messages, CL-SEC aims to reconstruct the original transmitted message verbatim, leveraging the semantic understanding capabilities of LMs for precise reconstruction.




Abstract:This paper introduces SA-OOSC, a multimodal large language models (MLLM)-distilled semantic communication framework that achieves efficient semantic coding with scenario-aware importance allocations. This approach addresses a critical limitation of existing object-oriented semantic communication (OOSC) systems - assigning static importance values to specific classes of objects regardless of their contextual relevance. Our framework utilizes MLLMs to identify the scenario-augmented (SA) semantic importance for objects within the image. Through knowledge distillation with the MLLM-annotated data, our vectorization/de-vectorization networks and JSCC encoder/decoder learn to dynamically allocate coding resources based on contextual significance, i.e., distinguishing between high-importance objects and low-importance according to the SA scenario information of the task. The framework features three core innovations: a MLLM-guided knowledge distillation pipeline, an importance-weighted variable-length JSCC framework, and novel loss function designs that facilitate the knowledge distillation within the JSCC framework. Experimental validation demonstrates our framework's superior coding efficiency over conventional semantic communication systems, with open-sourced MLLM-annotated and human-verified datasets established as new benchmarks for future research in semantic communications.




Abstract:In many modern astronomical facilities, multi-object telescopes are crucial instruments. Most of these telescopes have thousands of robotic fiber positioners(RFPs) installed on their focal plane, sharing an overlapping workspace. Collisions between RFPs during their movement can result in some targets becoming unreachable and cause structural damage. Therefore, it is necessary to reasonably assess and evaluate the collision probability of the RFPs. In this study, we propose a mathematical models of collision probability and validate its results using Monte Carlo simulations. In addition, a new collision calculation method is proposed for faster calculation(nearly 0.15% of original time). Simulation experiments have verified that our method can evaluate the collision probability between RFPs with both equal and unequal arm lengths. Additionally, we found that adopting a target distribution based on a Poisson distribution can reduce the collision probability by approximately 2.6% on average.




Abstract:Semantic communication is a promising technology for next-generation wireless networks. However, the out-of-distribution (OOD) problem, where a pre-trained machine learning (ML) model is applied to unseen tasks that are outside the distribution of its training data, may compromise the integrity of semantic compression. This paper explores the use of multi-modal large language models (MLLMs) to address the OOD issue in image semantic communication. We propose a novel "Plan A - Plan B" framework that leverages the broad knowledge and strong generalization ability of an MLLM to assist a conventional ML model when the latter encounters an OOD input in the semantic encoding process. Furthermore, we propose a Bayesian optimization scheme that reshapes the probability distribution of the MLLM's inference process based on the contextual information of the image. The optimization scheme significantly enhances the MLLM's performance in semantic compression by 1) filtering out irrelevant vocabulary in the original MLLM output; and 2) using contextual similarities between prospective answers of the MLLM and the background information as prior knowledge to modify the MLLM's probability distribution during inference. Further, at the receiver side of the communication system, we put forth a "generate-criticize" framework that utilizes the cooperation of multiple MLLMs to enhance the reliability of image reconstruction.




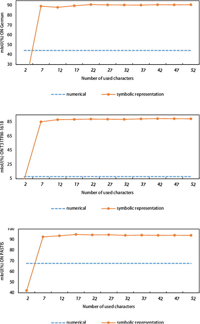
Abstract:Deep learning has significantly improved the accuracy of crop classification using multispectral temporal data. However, these models have complex structures with numerous parameters, requiring large amounts of data and costly training. In low-resource situations with fewer labeled samples, deep learning models perform poorly due to insufficient data. Conversely, compressors are data-type agnostic, and non-parametric methods do not bring underlying assumptions. Inspired by this insight, we propose a non-training alternative to deep learning models, aiming to address these situations. Specifically, the Symbolic Representation Module is proposed to convert the reflectivity into symbolic representations. The symbolic representations are then cross-transformed in both the channel and time dimensions to generate symbolic embeddings. Next, the Multi-scale Normalised Compression Distance (MNCD) is designed to measure the correlation between any two symbolic embeddings. Finally, based on the MNCDs, high quality crop classification can be achieved using only a k-nearest-neighbor classifier kNN. The entire framework is ready-to-use and lightweight. Without any training, it outperformed, on average, 7 advanced deep learning models trained at scale on three benchmark datasets. It also outperforms more than half of these models in the few-shot setting with sparse crop labels. Therefore, the high performance and robustness of our non-training framework makes it truly applicable to real-world crop mapping. Codes are available at: https://github.com/qinfengsama/Compressor-Based-Crop-Mapping.