Abstract:To fully expedite AI-powered chemical research, high-quality chemical databases are the cornerstone. Automatic extraction of chemical information from the literature is essential for constructing reaction databases, but it is currently limited by the multimodality and style variability of chemical information. In this work, we developed a multimodal large language model (MLLM)-based multi-agent system for automatic chemical information extraction. We used the MLLM's strong reasoning capability to understand the structure of complex chemical graphics, decompose the extraction task into sub-tasks and coordinate a set of specialized agents to solve them. Our system achieved an F1 score of 80.8% on a benchmark dataset of complex chemical reaction graphics from the literature, surpassing the previous state-of-the-art model (F1 score: 35.6%) by a significant margin. Additionally, it demonstrated consistent improvements in key sub-tasks, including molecular image recognition, reaction image parsing, named entity recognition and text-based reaction extraction. This work is a critical step toward automated chemical information extraction into structured datasets, which will be a strong promoter of AI-driven chemical research.
Abstract:Artificial intelligence (AI) has demonstrated significant promise in advancing organic chemistry research; however, its effectiveness depends on the availability of high-quality chemical reaction data. Currently, most published chemical reactions are not available in machine-readable form, limiting the broader application of AI in this field. The extraction of published chemical reactions into structured databases still relies heavily on manual curation, and robust automatic parsing of chemical reaction images into machine-readable data remains a significant challenge. To address this, we introduce the Reaction Image Multimodal large language model (RxnIM), the first multimodal large language model specifically designed to parse chemical reaction images into machine-readable reaction data. RxnIM not only extracts key chemical components from reaction images but also interprets the textual content that describes reaction conditions. Together with specially designed large-scale dataset generation method to support model training, our approach achieves excellent performance, with an average F1 score of 88% on various benchmarks, surpassing literature methods by 5%. This represents a crucial step toward the automatic construction of large databases of machine-readable reaction data parsed from images in the chemistry literature, providing essential data resources for AI research in chemistry. The source code, model checkpoints, and datasets developed in this work are released under permissive licenses. An instance of the RxnIM web application can be accessed at https://huggingface.co/spaces/CYF200127/RxnIM.




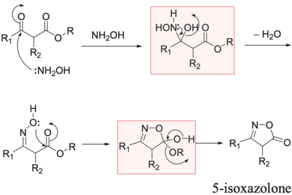
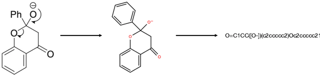
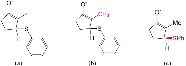
Abstract:Optical chemical structure recognition (OCSR) systems aim to extract the molecular structure information, usually in the form of molecular graph or SMILES, from images of chemical molecules. While many tools have been developed for this purpose, challenges still exist due to different types of noises that might exist in the images. Specifically, we focus on the 'arrow-pushing' diagrams, a typical type of chemical images to demonstrate electron flow in mechanistic steps. We present Structural molecular identifier of Molecular images in Chemical Reaction Mechanisms (SMiCRM), a dataset designed to benchmark machine recognition capabilities of chemical molecules with arrow-pushing annotations. Comprising 453 images, it spans a broad array of organic chemical reactions, each illustrated with molecular structures and mechanistic arrows. SMiCRM offers a rich collection of annotated molecule images for enhancing the benchmarking process for OCSR methods. This dataset includes a machine-readable molecular identity for each image as well as mechanistic arrows showing electron flow during chemical reactions. It presents a more authentic and challenging task for testing molecular recognition technologies, and achieving this task can greatly enrich the mechanisitic information in computer-extracted chemical reaction data.




Abstract:In the field of chemical structure recognition, the task of converting molecular images into graph structures and SMILES string stands as a significant challenge, primarily due to the varied drawing styles and conventions prevalent in chemical literature. To bridge this gap, we proposed MolNexTR, a novel image-to-graph deep learning model that collaborates to fuse the strengths of ConvNext, a powerful Convolutional Neural Network variant, and Vision-TRansformer. This integration facilitates a more nuanced extraction of both local and global features from molecular images. MolNexTR can predict atoms and bonds simultaneously and understand their layout rules. It also excels at flexibly integrating symbolic chemistry principles to discern chirality and decipher abbreviated structures. We further incorporate a series of advanced algorithms, including improved data augmentation module, image contamination module, and a post-processing module to get the final SMILES output. These modules synergistically enhance the model's robustness against the diverse styles of molecular imagery found in real literature. In our test sets, MolNexTR has demonstrated superior performance, achieving an accuracy rate of 81-97%, marking a significant advancement in the domain of molecular structure recognition. Scientific contribution: MolNexTR is a novel image-to-graph model that incorporates a unique dual-stream encoder to extract complex molecular image features, and combines chemical rules to predict atoms and bonds while understanding atom and bond layout rules. In addition, it employs a series of novel augmentation algorithms to significantly enhance the robustness and performance of the model.