



Abstract:Epilepsy is one of the most prevalent brain disorders that disrupts the lives of millions worldwide. For patients with drug-resistant seizures, there exist implantable devices capable of monitoring neural activity, promptly triggering neurostimulation to regulate seizures, or alerting patients of potential episodes. Next-generation seizure detection systems heavily rely on high-accuracy machine learning-based classifiers to detect the seizure onset. Here, we propose to enhance the seizure detection performance by learning informative embeddings of the EEG signal. We empirically demonstrate, for the first time, that converting raw EEG signals to appropriate embeddings can significantly boost the performance of seizure detection algorithms. Importantly, we show that embedding features, which converts the raw EEG into an alternative representation, is beneficial for various machine learning models such as Logistic Regression, Multi-Layer Perceptron, Support Vector Machines, and Gradient Boosted Trees. The experiments were conducted on the CHB-MIT scalp EEG dataset. With the proposed EEG feature embeddings, we achieve significant improvements in sensitivity, specificity, and AUC score across multiple models. By employing this approach alongside an SVM classifier, we were able to attain state-of-the-art classification performance with a sensitivity of 100% and specificity of 99%, setting a new benchmark in the field.




Abstract:The success of self-supervised learning in computer vision and natural language processing has motivated pretraining methods on tabular data. However, most existing tabular self-supervised learning models fail to leverage information across multiple data tables and cannot generalize to new tables. In this work, we introduce XTab, a framework for cross-table pretraining of tabular transformers on datasets from various domains. We address the challenge of inconsistent column types and quantities among tables by utilizing independent featurizers and using federated learning to pretrain the shared component. Tested on 84 tabular prediction tasks from the OpenML-AutoML Benchmark (AMLB), we show that (1) XTab consistently boosts the generalizability, learning speed, and performance of multiple tabular transformers, (2) by pretraining FT-Transformer via XTab, we achieve superior performance than other state-of-the-art tabular deep learning models on various tasks such as regression, binary, and multiclass classification.




Abstract:Closed-loop neural interfaces with on-chip machine learning can detect and suppress disease symptoms in neurological disorders or restore lost functions in paralyzed patients. While high-density neural recording can provide rich neural activity information for accurate disease-state detection, existing systems have low channel count and poor scalability, which could limit their therapeutic efficacy. This work presents a highly scalable and versatile closed-loop neural interface SoC that can overcome these limitations. A 256-channel time-division multiplexed (TDM) front-end with a two-step fast-settling mixed-signal DC servo loop (DSL) is proposed to record high-spatial-resolution neural activity and perform channel-selective brain-state inference. A tree-structured neural network (NeuralTree) classification processor extracts a rich set of neural biomarkers in a patient- and disease-specific manner. Trained with an energy-aware learning algorithm, the NeuralTree classifier detects the symptoms of underlying disorders (e.g., epilepsy and movement disorders) at an optimal energy-accuracy trade-off. A 16-channel high-voltage (HV) compliant neurostimulator closes the therapeutic loop by delivering charge-balanced biphasic current pulses to the brain. The proposed SoC was fabricated in 65nm CMOS and achieved a 0.227uJ/class energy efficiency in a compact area of 0.014mm^2/channel. The SoC was extensively verified on human electroencephalography (EEG) and intracranial EEG (iEEG) epilepsy datasets, obtaining 95.6%/94% sensitivity and 96.8%/96.9% specificity, respectively. In-vivo neural recordings using soft uECoG arrays and multi-domain biomarker extraction were further performed on a rat model of epilepsy. In addition, for the first time in literature, on-chip classification of rest-state tremor in Parkinson's disease from human local field potentials (LFPs) was demonstrated.




Abstract:Decision trees have been widely used as classifiers in many machine learning applications thanks to their lightweight and interpretable decision process. This paper introduces Tree in Tree decision graph (TnT), a framework that extends the conventional decision tree to a more generic and powerful directed acyclic graph. TnT constructs decision graphs by recursively growing decision trees inside the internal or leaf nodes instead of greedy training. The time complexity of TnT is linear to the number of nodes in the graph, and it can construct decision graphs on large datasets. Compared to decision trees, we show that TnT achieves better classification performance with reduced model size, both as a stand-alone classifier and as a base estimator in bagging/AdaBoost ensembles. Our proposed model is a novel, more efficient, and accurate alternative to the widely-used decision trees.




Abstract:The application of closed-loop approaches in systems neuroscience and therapeutic stimulation holds great promise for revolutionizing our understanding of the brain and for developing novel neuromodulation therapies to restore lost functions. Neural prostheses capable of multi-channel neural recording, on-site signal processing, rapid symptom detection, and closed-loop stimulation are critical to enabling such novel treatments. However, the existing closed-loop neuromodulation devices are too simplistic and lack sufficient on-chip processing and intelligence. In this paper, we first discuss both commercial and investigational closed-loop neuromodulation devices for brain disorders. Next, we review state-of-the-art neural prostheses with on-chip machine learning, focusing on application-specific integrated circuits (ASIC). System requirements, performance and hardware comparisons, design trade-offs, and hardware optimization techniques are discussed. To facilitate a fair comparison and guide design choices among various on-chip classifiers, we propose a new energy-area (E-A) efficiency figure of merit that evaluates hardware efficiency and multi-channel scalability. Finally, we present several techniques to improve the key design metrics of tree-based on-chip classifiers, both in the context of ensemble methods and oblique structures.



Abstract:Modern machine learning tools have shown promise in detecting symptoms of neurological disorders. However, current approaches typically train a unique classifier for each subject. This subject-specific training scheme requires long labeled recordings from each patient, thus failing to detect symptoms in new patients with limited recordings. This paper introduces an unsupervised domain adaptation approach based on adversarial networks to enable few-shot, cross-subject epileptic seizure detection. Using adversarial learning, features from multiple patients were encoded into a subject-invariant space and a discriminative model was trained on subject-invariant features to make predictions. We evaluated this approach on the intracranial EEG (iEEG) recordings from 9 patients with epilepsy. Our approach enabled cross-subject seizure detection with a 9.4\% improvement in 1-shot classification accuracy compared to the conventional subject-specific scheme.




Abstract:Neural interfaces capable of multi-site electrical recording, on-site signal classification, and closed-loop therapy are critical for the diagnosis and treatment of neurological disorders. However, deploying machine learning algorithms on low-power neural devices is challenging, given the tight constraints on computational and memory resources for such devices. In this paper, we review the recent developments in embedding machine learning in neural interfaces, with a focus on design trade-offs and hardware efficiency. We also present our optimized tree-based model for low-power and memory-efficient classification of neural signal in brain implants. Using energy-aware learning and model compression, we show that the proposed oblique trees can outperform conventional machine learning models in applications such as seizure or tremor detection and motor decoding.




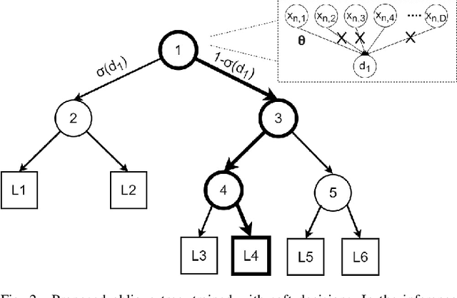
Abstract:Classifiers that can be implemented on chip with minimal computational and memory resources are essential for edge computing in emerging applications such as medical and IoT devices. This paper introduces a machine learning model based on oblique decision trees to enable resource-efficient classification on a neural implant. By integrating model compression with probabilistic routing and implementing cost-aware learning, our proposed model could significantly reduce the memory and hardware cost compared to state-of-the-art models, while maintaining the classification accuracy. We trained the resource-efficient oblique tree with power-efficient regularization (ResOT-PE) on three neural classification tasks to evaluate the performance, memory, and hardware requirements. On seizure detection task, we were able to reduce the model size by 3.4X and the feature extraction cost by 14.6X compared to the ensemble of boosted trees, using the intracranial EEG from 10 epilepsy patients. In a second experiment, we tested the ResOT-PE model on tremor detection for Parkinson's disease, using the local field potentials from 12 patients implanted with a deep-brain stimulation (DBS) device. We achieved a comparable classification performance as the state-of-the-art boosted tree ensemble, while reducing the model size and feature extraction cost by 10.6X and 6.8X, respectively. We also tested on a 6-class finger movement detection task using ECoG recordings from 9 subjects, reducing the model size by 17.6X and feature computation cost by 5.1X. The proposed model can enable a low-power and memory-efficient implementation of classifiers for real-time neurological disease detection and motor decoding.