



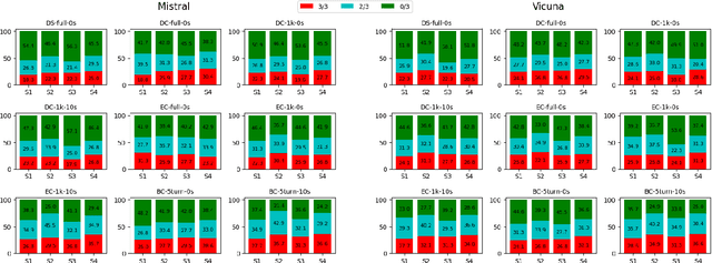
Abstract:Automatically assessing classroom discussion quality is becoming increasingly feasible with the help of new NLP advancements such as large language models (LLMs). In this work, we examine how the assessment performance of 2 LLMs interacts with 3 factors that may affect performance: task formulation, context length, and few-shot examples. We also explore the computational efficiency and predictive consistency of the 2 LLMs. Our results suggest that the 3 aforementioned factors do affect the performance of the tested LLMs and there is a relation between consistency and performance. We recommend a LLM-based assessment approach that has a good balance in terms of predictive performance, computational efficiency, and consistency.




Abstract:Computing is at a moment of profound opportunity. Emerging applications -- such as capable artificial intelligence, immersive virtual realities, and pervasive sensor systems -- drive unprecedented demand for computer. Despite recent advances toward net zero carbon emissions, the computing industry's gross energy usage continues to rise at an alarming rate, outpacing the growth of new energy installations and renewable energy deployments. A shift towards sustainability is needed to spark a transformation in how computer systems are manufactured, allocated, and consumed. Carbon Connect envisions coordinated research thrusts that produce design and management strategies for sustainable, next-generation computer systems. These strategies must flatten and then reverse growth trajectories for computing power and carbon for society's most rapidly growing applications such as artificial intelligence and virtual spaces. We will require accurate models for carbon accounting in computing technology. For embodied carbon, we must re-think conventional design strategies -- over-provisioned monolithic servers, frequent hardware refresh cycles, custom silicon -- and adopt life-cycle design strategies that more effectively reduce, reuse and recycle hardware at scale. For operational carbon, we must not only embrace renewable energy but also design systems to use that energy more efficiently. Finally, new hardware design and management strategies must be cognizant of economic policy and regulatory landscape, aligning private initiatives with societal goals. Many of these broader goals will require computer scientists to develop deep, enduring collaborations with researchers in economics, law, and industrial ecology to spark change in broader practice.



Abstract:Rigorous and interactive class discussions that support students to engage in high-level thinking and reasoning are essential to learning and are a central component of most teaching interventions. However, formally assessing discussion quality 'at scale' is expensive and infeasible for most researchers. In this work, we experimented with various modern natural language processing (NLP) techniques to automatically generate rubric scores for individual dimensions of classroom text discussion quality. Specifically, we worked on a dataset of 90 classroom discussion transcripts consisting of over 18000 turns annotated with fine-grained Analyzing Teaching Moves (ATM) codes and focused on four Instructional Quality Assessment (IQA) rubrics. Despite the limited amount of data, our work shows encouraging results in some of the rubrics while suggesting that there is room for improvement in the others. We also found that certain NLP approaches work better for certain rubrics.