



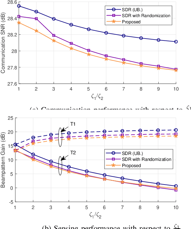
Abstract:Reconfigurable Intelligent Surfaces (RIS) have been recognized as a promising technology to enhance both communication and sensing performance in integrated sensing and communication (ISAC) systems for future 6G networks. However, existing RIS optimization methods for improving ISAC performance are mainly based on semidefinite relaxation (SDR) or iterative algorithms. The former suffers from high computational complexity and limited scalability, especially when the number of RIS elements becomes large, while the latter yields suboptimal solutions whose performance depends on initialization. In this work, we introduce a lightweight RIS phase design framework that provides a closed-form solution and explicitly accounts for the trade-off between communication and sensing, as well as proportional beam gain distribution toward multiple sensing targets. The key idea is to partition the RIS configuration into two parts: the first part is designed to maximize the communication performance, while the second introduces small perturbations to generate multiple beams for multi-target sensing. Simulation results validate the effectiveness of the proposed approach and demonstrate that it achieves performance comparable to SDR but with significantly lower computational complexity.
Abstract:Cognitive radar has emerged as a key paradigm for next-generation sensing, enabling adaptive, intelligent operation in dynamic and complex environments. Yet, conventional cognitive multiple-input multiple-output (MIMO) radars offer strong detection performance but suffer from high hardware complexity and power demands. To overcome these limitations, we develop a reinforcement learning (RL)-based framework that leverages a transmissive reconfigurable intelligent surface (TRIS) for adaptive beamforming. A state-action-reward-state-action (SARSA) agent tunes TRIS phase shifts to improve multi-target detection in low signal-to-noise ratio (SNR) conditions while operating with far fewer radio frequency (RF) chains. Simulations confirm that the proposed TRIS-RL radar matches or, for large number of elements, even surpasses MIMO performance with reduced cost and energy requirements.




Abstract:6G must be designed to withstand, adapt to, and evolve amid prolonged, complex disruptions. Mobile networks' shift from efficiency-first to sustainability-aware has motivated this white paper to assert that resilience is a primary design goal, alongside sustainability and efficiency, encompassing technology, architecture, and economics. We promote resilience by analysing dependencies between mobile networks and other critical systems, such as energy, transport, and emergency services, and illustrate how cascading failures spread through infrastructures. We formalise resilience using the 3R framework: reliability, robustness, resilience. Subsequently, we translate this into measurable capabilities: graceful degradation, situational awareness, rapid reconfiguration, and learning-driven improvement and recovery. Architecturally, we promote edge-native and locality-aware designs, open interfaces, and programmability to enable islanded operations, fallback modes, and multi-layer diversity (radio, compute, energy, timing). Key enablers include AI-native control loops with verifiable behaviour, zero-trust security rooted in hardware and supply-chain integrity, and networking techniques that prioritise critical traffic, time-sensitive flows, and inter-domain coordination. Resilience also has a techno-economic aspect: open platforms and high-quality complementors generate ecosystem externalities that enhance resilience while opening new markets. We identify nine business-model groups and several patterns aligned with the 3R objectives, and we outline governance and standardisation. This white paper serves as an initial step and catalyst for 6G resilience. It aims to inspire researchers, professionals, government officials, and the public, providing them with the essential components to understand and shape the development of 6G resilience.
Abstract:Various approaches in the field of physical layer security involve anomaly detection, such as physical layer authentication, sensing attacks, and anti-tampering solutions. Depending on the context in which these approaches are applied, anomaly detection needs to be computationally lightweight, resilient to changes in temperature and environment, and robust against phase noise. We adapt moving average filters, autoregression filters and Kalman filters to provide predictions of feature vectors that fulfill the above criteria. Different hypothesis test designs are employed that allow omnidirectional and unidirectional outlier detection. In a case study, a sensing attack is investigated that employs the described algorithms with various channel features based on commodity WiFi devices. Thereby, various combinations of algorithms and channel features show effectiveness for motion detection by an attacker. Countermeasures only utilizing transmit power randomization are shown insufficient to mitigate such attacks if the attacker has access to channel state information (CSI) measurements, suggesting that mitigation solutions might require frequency-variant randomization.


Abstract:As 6G and beyond redefine connectivity, wireless networks become the foundation of critical operations, making resilience more essential than ever. With this shift, wireless systems cannot only take on vital services previously handled by wired infrastructures but also enable novel innovative applications that would not be possible with wired systems. As a result, there is a pressing demand for strategies that can adapt to dynamic channel conditions, interference, and unforeseen disruptions, ensuring seamless and reliable performance in an increasingly complex environment. Despite considerable research, existing resilience assessments lack comprehensive key performance indicators (KPIs), especially those quantifying its adaptability, which are vital for identifying a system's capacity to rapidly adapt and reallocate resources. In this work, we bridge this gap by proposing a novel framework that explicitly quantifies the adaption performance by augmenting the gradient of the system's rate function. To further enhance the network resilience, we integrate Reconfigurable Intelligent Surfaces (RISs) into our framework due to their capability to dynamically reshape the propagation environment while providing alternative channel paths. Numerical results show that gradient augmentation enhances resilience by improving adaptability under adverse conditions while proactively preparing for future disruptions.




Abstract:Non-destructive testing is an important technique for detecting defects in multi-layer materials, enabling the evaluation of structural integrity without causing damage on test materials. Terahertz time-domain spectroscopy (THz-TDS) offers unique capabilities for this purpose due to its sensitivity and resolution. Inspired by room geometry estimation methods in acoustic signal processing, this work proposes a novel approach for defect detection in multi-layer composite materials using THz-TDS, enhanced by high-power sources. The proposed method utilizes Euclidean distance matrices to reduce problem complexity compared to state-of-the-art approaches, and effectively distinguishes and maps higher-order reflections from sublayers, enabling precise defect localization in composite materials without artifacts.
Abstract:The terahertz (THz) band is a promising solution to the increasing data traffic demands of future wireless networks. However, developing transceivers for THz communication is a complex and toilsome task due to the difficulty in designing devices that operate at this frequency and the impact of hardware impairments on performance. This paper investigates the impact of radio frequency (RF) impairment, in-phase/quadrature imbalance (IQI). To this end, we express an IQI model for the THzspecific array-of-subarrays (AoSA) architecture considering the unique features of THz communication; vast bandwidth, severe power drawdown, and pencil-like beams. We further model the impact of IQI in the power limited regime in order to investigate the power and ultra-wideband trade-off. To achieve this, we express the spectral efficiency in terms of wideband slope and bit energy to noise ratio which are the two important information theoretic metrics that reveals the performance of the ultrawideband systems as in THz communication. Our results show that THz systems with IQI have a strict limit in achievable rate although they provide immense spectrum. We also demonstrate with our simulation results that compared to low frequencies, IQI is a more serious concern in THz links.




Abstract:Motivated by the growing interest in integrated sensing and communication for 6th generation (6G) networks, this paper presents a cognitive Multiple-Input Multiple-Output (MIMO) radar system enhanced by reinforcement learning (RL) for robust multitarget detection in dynamic environments. The system employs a planar array configuration and adapts its transmitted waveforms and beamforming patterns to optimize detection performance in the presence of unknown two-dimensional (2D) disturbances. A robust Wald-type detector is integrated with a SARSA-based RL algorithm, enabling the radar to learn and adapt to complex clutter environments modeled by a 2D autoregressive process. Simulation results demonstrate significant improvements in detection probability compared to omnidirectional methods, particularly for low Signal-to-Noise Ratio (SNR) targets masked by clutter.
Abstract:The development of mobile terahertz (THz) sensing and localization with minimal infrastructure has garnered significant attention due to its substantial practical implications. Single-antenna radar systems are a favored choice for mobile platforms, as they offer notable advantages in terms of cost, weight, and simplicity. However, these systems face a critical limitation: the inability to extract angular information using a single antenna, which consequently prevents the achievement of complete localization. This paper proposes an angular estimation method for a single-antenna radar augmented with a pair of preconfigured metasurfaces. The metasurface pair is used for creating an interference pattern in the scene, which depends on the target angles and operating frequency. Moreover, the beam squint effects caused by the wide frequency range in the THz band provides suitable conditions for using sparse reconstruction techniques to obtain angular estimates. We utilize these properties to perform angular estimation with a single antenna. The simulation results show that with this method it is possible to perform fast and accurate multi-target estimation for a broad operating range.




Abstract:This paper investigates signle-antenna radar imaging with a reconfigurable intelligent surface (RIS). Configuring phase shifts in a RIS-aided radar system can be thought as synthetic aperture radar (SAR) imaging with a moving virtual source. With this perspective, the problem is modeled in the wavenumber domain and image forming algorithms are formulated for near and far field regions. Thus, a novel and intuitive perspective has been introduced to the RIS-aided radar imaging formation problem, opening a new avenue for adapting well-known SAR methods in the literature to these systems.