Abstract:In this letter, a pinching antenna (PA)-aided scheme for establishing a secure integrated sensing and communication system (ISAC) is investigated. The underlying system comprises a dual-functional radar communication (DFRC) base station (BS) linked to multiple waveguides to serve several downlink users while sensing a set of malicious targets in a given area. The PA-aided BS aims at preserving communication confidentiality with the legitimate users while being able to detect malicious targets. One objective of the proposed scheme is to optimize the PA locations, based on which an optimal design of the legitimate signal beamforming and artificial noise covariance matrices is provided to maximize the network's sensing performance, subject to secrecy and total power constraints. We demonstrate the efficacy of the proposed scheme through numerical examples and compare that against a traditional DFRC ISAC system with a uniform linear array of half-wavelength-spaced antennas. We show that the proposed scheme outperforms the baseline PA-aided scheme with equidistant PAs by $3$ dB in terms of illumination power, while it can provide gains of up to $30$ dB of the same metric against a traditional ISAC system with half-wavelength-space uniform linear arrays.
Abstract:Modern millimeter wave (mmWave) transceivers come with a large number of antennas, each of which can support thousands of phase shifter configurations. This capability enables beam sweeping with fine angular resolution, but results in large codebook sizes that can span more than six orders of magnitude. On the other hand, the mobility of user terminals and their randomly changing orientations require constantly adjusting the beam direction. A key focus of recent research has been on the design of beam sweeping codebooks that balance a trade-off between the achievable gain and the beam search time, governed by the codebook size. In this paper, we investigate the extent to which a large codebook can be reduced to fewer steering vectors while covering the entire angular space and maintaining performance close to the maximum array gain. We derive a closed-form expression for the angular coverage range of a steering vector, subject to maintaining a gain loss within \(\gamma\) dB (e.g., 2\, dB) with respect to the maximum gain achieved by an infinitely large codebook. We demonstrate, both theoretically and experimentally, that a large beam-steering codebooks (such as the \(1024^{16}\) set considered in our experiment) can be reduced to just a few steering vectors. This framework serves as a proof that only a few steering vectors are sufficient to achieve near-maximum gain, challenging the common belief that a large codebook with fine angular resolution is essential to fully reap the benefits of an antenna array.
Abstract:Integrated sensing and communication (ISAC) has recently emerged as a viable technique for establishing sensing and communication using the same resources. Nonetheless, the operation of ISAC networks is often challenged by the absence of a direct link between the sensing node and the targets, and by the risk of disclosing confidential data to malicious targets when using the same signal for both tasks. In this paper, a robust reconfigurable intelligent surface (RIS)-aided scheme for securing a full-duplex (FD) ISAC network is proposed. The considered network consists of uplink and downlink users served in FD through a multi-antenna dual-functional radar communication base station (BS), which employs co-located multi-antenna communication-radar arrays to detect multiple malicious targets while preserving communication secrecy in their presence. Additionally, the BS utilizes an optimized artificial noise (AN) that serves to disrupt the malicious targets' reception and increase the sensing power. By optimally designing the RIS phase shifts, transmit beamforming, AN covariance, and uplink users' transmit power and combining vectors using an alternating optimization-based algorithm, the network's sensing performance is maximized under secrecy and total power constraints. Numerical results present the proposed scheme's efficacy, particularly when a direct link between the BS and the various nodes/targets is absent.
Abstract:This paper explores downlink Cooperative Rate-Splitting Multiple Access (C-RSMA) in a multi-cell wireless network with the assistance of Joint-Transmission Coordinated Multipoint (JT-CoMP). In this network, each cell consists of a base station (BS) equipped with multiple antennas, one or more cell-center users (CCU), and multiple cell-edge users (CEU) located at the edge of the cells. Through JT-CoMP, all the BSs collaborate to simultaneously transmit the data to all the users including the CCUs and CEUs. To enhance the signal quality for the CEUs, CCUs relay the common stream to the CEUs by operating in either half-duplex (HD) or full-duplex (FD) decode-and-forward (DF) relaying mode. In this setup, we aim to jointly optimize the beamforming vectors at the BS, the allocation of common stream rates, the transmit power at relaying users, i.e., CCUs, and the time slot fraction, aiming to maximize the minimum achievable data rate. However, the formulated optimization problem is non-convex and is challenging to solve directly. To address this challenge, we employ change-of-variables, first-order Taylor approximations, and a low-complexity algorithm based on Successive Convex Approximation (SCA). We demonstrate through simulation results the efficacy of the proposed scheme, in terms of average achievable data rate, and we compare its performance to that of four baseline schemes, including HD/FD cooperative non-orthogonal multiple access (C-NOMA), NOMA, and RSMA without user cooperation. The results show that the proposed FD C-RSMA can achieve 25% over FD C-NOMA and the proposed HD C-RSMA can achieve 19% over HD C-NOMA respectively, when the BS transmit power is 20 dBm.




Abstract:In this paper, we tackle the issue of moral hazard within the realm of the vehicular Metaverse. A pivotal facilitator of the vehicular Metaverse is the effective orchestration of its market elements, primarily comprised of sensing internet of things (SIoT) devices. These SIoT devices play a critical role by furnishing the virtual service provider (VSP) with real-time sensing data, allowing for the faithful replication of the physical environment within the virtual realm. However, SIoT devices with intentional misbehavior can identify a loophole in the system post-payment and proceeds to deliver falsified content, which cause the whole vehicular Metaverse to collapse. To combat this significant problem, we propose an incentive mechanism centered around a reputation-based strategy. Specifically, the concept involves maintaining reputation scores for participants based on their interactions with the VSP. These scores are derived from feedback received by the VSP from Metaverse users regarding the content delivered by the VSP and are managed using a subjective logic model. Nevertheless, to prevent ``good" SIoT devices with false positive ratings to leave the Metaverse market, we build a vanishing-like system of previous ratings so that the VSP can make informed decisions based on the most recent and accurate data available. Finally, we validate our proposed model through extensive simulations. Our primary results show that our mechanism can efficiently prevent malicious devices from starting their poisoning attacks. At the same time, trustworthy SIoT devices that had a previous miss-classification are not banned from the market.


Abstract:In this paper, we investigate for the first time the dynamic power allocation and decoding order at the base station (BS) of two-user uplink (UL) cooperative non-orthogonal multiple access (C-NOMA)-based cellular networks. In doing so, we formulate a joint optimization problem aiming at maximizing the minimum user achievable rate, which is a non-convex optimization problem and hard to be directly solved. To tackle this issue, an iterative algorithm based on successive convex approximation (SCA) is proposed. The numerical results reveal that the proposed scheme provides superior performance in comparison with the traditional UL NOMA. In addition, we demonstrated that in UL C-NOMA, decoding the far NOMA user first at the BS provides the best performance.




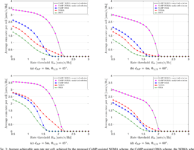
Abstract:In this paper, we investigate the dynamic power allocation for a visible light communication (VLC) cellular system consisting of two coordinating attocells, each equipped with one access-point (AP). The joint-transmission coordinated multipoint (JT-CoMP) between the two cells is introduced to assist users experiencing high inter-cell-interference (ICI), especially the ones located at the edge of both cells, where each cell invokes non-orthogonal-multiple-access (NOMA) to serve its associated users. A power allocation framework is formulated as an optimization problem with the objective of maximizing the network sum-rate while guaranteeing a certain quality-of-service (QoS) for each user. The formulated optimization problem is not concave, which is difficult to be solved directly unless using heuristic methods, which comes at the expense of high computational complexity. To overcome this issue, an optimal and low complexity power allocation scheme is derived. In the simulation results, the performance of the proposed CoMP-assisted NOMA scheme is compared with those of the CoMP-assisted orthogonal-multiple-access (OMA) scheme, the NOMA scheme and the OMA scheme where the superiority of the proposed scheme is demonstrated. Finally, the performance of the proposed scheme and the considered baselines is evaluated while varying the coverage area of each attocell and the distance between the APs.




Abstract:This paper studies the coexistence of enhanced mobile broadband (eMBB) and ultra-reliable and low-latency communication (URLLC) services in a cellular network that is assisted by a reconfigurable intelligent surface (RIS). The system model consists of one base station (BS) and one RIS that is deployed to enhance the performance of both eMBB and URLLC in terms of the achievable data rate and reliability, respectively. We formulate two optimization problems, a time slot basis eMBB allocation problem and a mini-time slot basis URLLC allocation problem. The eMBB allocation problem aims at maximizing the eMBB sum rate by jointly optimizing the power allocation at the BS and the RIS phase-shift matrix while satisfying the eMBB rate constraint. On the other hand, the URLLC allocation problem is formulated as a multi-objective problem with the goal of maximizing the URLLC admitted packets and minimizing the eMBB rate loss. This is achieved by jointly optimizing the power and frequency allocations along with the RIS phase-shift matrix. In order to avoid the violation in the URLLC latency requirements, we propose a novel framework in which the RIS phase-shift matrix that enhances the URLLC reliability is proactively designed at the beginning of the time slot. For the sake of solving the URLLC allocation problem, two algorithms are proposed, namely, an optimization-based URLLC allocation algorithm and a heuristic algorithm. The simulation results show that the heuristic algorithm has a low time complexity, which makes it practical for real-time and efficient multiplexing between eMBB and URLLC traffic. In addition, using only 60 RIS elements, we observe that the proposed scheme achieves around 99.99\% URLLC packets admission rate compared to 95.6\% when there is no RIS, while also achieving up to 70\% enhancement on the eMBB sum rate.




Abstract:This paper investigates the channel aging problem of light-fidelity (LiFi) systems. In the LiFi physical layer, the majority of the optimization problems for mobile users are nonconvex and require the use of dual decomposition or heuristics techniques. Such techniques are based on iterative algorithms, and often, cause a high processing time at the physical layer. Hence, the obtained solutions are no longer optimal since the LiFi channels are evolving. In this paper, a proactive-optimization approach that can alleviate the LiFi channel aging problem is proposed. The core idea is to design a long-short-term memory (LSTM) network that is capable of predicting posterior positions and orientations of mobile users, which can be then used to predict their channel coefficients. Consequently, the obtained channel coefficients can be exploited for deriving near-optimal transmission-schemes prior to the intended service-time, which enables real-time service. Through various simulations, the performance of the designed LSTM model is evaluated in terms of prediction accuracy and time. Finally, the performance of the proposed PO approach is investigated in the sum rate maximization problem of multiuser cell-free LiFi systems with quality-of-service constraints, where a performance gap of less than 7% is achieved, while eliminating up to 100% of the online processing-time.




Abstract:Visible light communication (VLC) is an optical wireless communication technology that is considered a promising solution for high-speed indoor connectivity. Unlike the case in conventional radio-frequency wireless systems, the VLC channel is not isotropic, meaning that the device orientation affects the channel gain significantly. In addition, due to the use of optical frequency bands, the presence of different obstacles (e.g., walls, human bodies, furniture) may easily block the VLC links. One solution to overcome these issues is the integration of the intelligent reflective surface (IRS), which is a new and revolutionizing technology that has the potential to significantly improve the performance of wireless networks. IRS is capable of smartly reconfiguring the wireless propagation environment with the use of massive low-cost passive reflecting elements integrated on a planar surface. In this paper, a framework for integrating IRS in indoor VLC systems is presented. We give an overview of IRS, including its advantages, different types and main applications in VLC systems, where we demonstrate the potential of IRS in overcoming the effects of random device orientation and links blockages. We discuss key factors pertaining to the design and integration of IRS in VLC systems, namely, the deployment of IRSs, the channel state information acquisition, the optimization of IRS configuration and the real-time IRS control. We also lay out a number of promising research directions that center around the integration of IRS in indoor VLC systems.