Abstract:RIS-assisted communication has recently attracted significant attention for enhancing wireless performance in challenging environments, making accurate error analysis under practical hardware constraints crucial for future multi-antenna systems. This paper presents a theoretical framework for SER analysis of RIS-assisted multiple antenna systems employing OSTBC under practical reflection models with amplitude-dependent and quantized phase responses. By exploiting the Gramian structure of the cascaded channel f, we derive exact MGF expressions of the nonzero eigenvalue of f'f for small RIS sizes. For large-scale RIS deployments, where closed-form analysis becomes intractable, we employ Saddle Point Approximation to approximate the eigenvalue distribution. Using these results, we derive unified SER expressions using exact and SPA-based MGF formulations, applicable to arbitrary RIS sizes, phase configuration, and both identical and non-identical amplitude responses. Extensive Monte Carlo simulations confirm the accuracy of the proposed SER expressions, demonstrating very close agreement for all configurations.

Abstract:By intelligently reconfiguring wireless propagation environment, reconfigurable intelligent surfaces (RISs) can enhance signal quality, suppress interference, and improve channel conditions, thereby serving as a powerful complement to multiple-input multiple-output (MIMO) architectures. However, jointly optimizing the RIS phase shifts and the MIMO transmit precoder in 5G and beyond networks remains largely unexplored. This paper addresses this gap by proposing a singular value ($\lambda$)-based RIS optimization strategy, where the phase shifts are configured to maximize the dominant singular values of the cascaded channel matrix, and the corresponding singular vectors are utilized for MIMO transmit precoding. The proposed precoder selection does not require mutual information computation across subbands, thereby reducing time complexity. To solve the $\lambda$-based optimization problem, maximum cross-swapping algorithm (MCA) is applied while an effective rank-based method is utilized for benchmarking purposes. The simulation results show that the proposed precoder selection method consistently outperforms the conventional approach under $\lambda$-based RIS optimization.

Abstract:The majority of spatial signal processing techniques focus on increasing the total system capacity and providing high data rates for intended user(s). Unlike the existing studies, this paper introduces a novel interference modulation method that exploits the correlation between wireless channels to enable low-data-rate transmission towards additional users with a minimal power allocation. The proposed method changes the interference power at specific channels to modulate a low-rate on-off keying signal. This is achieved by appropriately setting the radiation pattern of front-end components of a transmitter, i.e., analog beamforming weights or metasurface configuration. The paper investigates theoretical performance limits and analyzes the efficiency in terms of sum rate. Bit error rate simulation results are closely matched with theoretical findings. The initial findings indicate that the proposed technique can be instrumental in providing reduced capability communication using minimal power consumption in 6G networks.

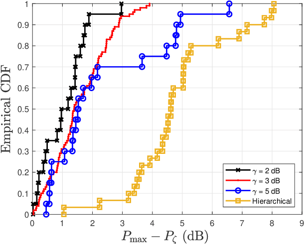
Abstract:Modern millimeter wave (mmWave) transceivers come with a large number of antennas, each of which can support thousands of phase shifter configurations. This capability enables beam sweeping with fine angular resolution, but results in large codebook sizes that can span more than six orders of magnitude. On the other hand, the mobility of user terminals and their randomly changing orientations require constantly adjusting the beam direction. A key focus of recent research has been on the design of beam sweeping codebooks that balance a trade-off between the achievable gain and the beam search time, governed by the codebook size. In this paper, we investigate the extent to which a large codebook can be reduced to fewer steering vectors while covering the entire angular space and maintaining performance close to the maximum array gain. We derive a closed-form expression for the angular coverage range of a steering vector, subject to maintaining a gain loss within \(\gamma\) dB (e.g., 2\, dB) with respect to the maximum gain achieved by an infinitely large codebook. We demonstrate, both theoretically and experimentally, that a large beam-steering codebooks (such as the \(1024^{16}\) set considered in our experiment) can be reduced to just a few steering vectors. This framework serves as a proof that only a few steering vectors are sufficient to achieve near-maximum gain, challenging the common belief that a large codebook with fine angular resolution is essential to fully reap the benefits of an antenna array.




Abstract:This paper presents an Orthogonal Time Frequency Space (OTFS) waveform application along with a high altitude platform station (HAPS) relaying for remedying severe Doppler effects in non-terrestrial networks (NTNs). Taking practical challenges into consideration, HAPS is exploited as a decode and forward relay node to mitigate the high path loss between a satellite and a base station (BS). In addition, a maximum ratio transmission scheme with multiple antennas at the LEO-satellite is utilized to maximize Signal-to-Noise Ratio (SNR). A shadowed Rician fading model is employed for the channel realization between the LEO-satellite and the HAPS while Nakagami-m is used between the HAPS and the BS. We derive the closed-form expression of the outage probability (OP) for the end-to-end system. The theoretical and simulation results demonstrate that the OP can significantly decrease when the OTFS order and the number of transmit antennas increase.

Abstract:Open Radio Access Network (O-RAN) along with artificial intelligence, machine learning, cloud and edge networking, and virtualization are important enablers for designing flexible and software-driven programmable wireless networks. In addition, Reconfigurable Intelligent Surfaces (RIS) represent an innovative technology to direct incoming radio signals toward desired locations by software-controlled passive reflecting antenna elements. Despite their distinctive potential, there has been limited exploration of integrating RIS with the O-RAN framework, an area that holds promise for enhancing next-generation wireless systems. This paper addresses this gap by designing and developing the RIS optimization xApps within an O-RAN-based real-time 5G environment. We perform extensive measurement experiments using an end-to-end 5G testbed including the RIS prototype in a multi-user scenario. The results demonstrate that the RIS can be utilized either to boost the performance of the selected user or to provide the fairness among the users or to balance the tradeoff between the performance and fairness.

Abstract:Network slicing is a key enabler for providing a differentiated service support to heterogeneous use cases and applications in 5G and beyond networks through creating multiple logical slices. Resource allocation for satisfying diverse requirements of slices is a highly challenging task under time-varying traffic and wireless channel conditions. This paper presents a deep reinforcement learning (DRL) approach for allocating radio resources to slices, where the objective is to meet the latency requirement of the low-latency slice without jeopardizing the performance of the other slice. The proposed DRL approach is implemented within an open source mobile network emulator, namely OpenAirInterface, to create an O-RAN compliant end-to-end 5G network capable of dynamic resource allocation capabilities. The intelligent resource allocation mechanism operates on the RAN Intelligent Controller (RIC) as an xApp, enabling monitoring and dynamic resource control of the gNB through the E2 interface. The results demonstrate that the latency requirement of the low-latency slice is met under extremely loaded traffic scenarios, where the trained DRL model deployed on the near-RT RIC platform is used to dynamically allocate the radio resources to the slices.





Abstract:There is a growing interest in codebook-based beam-steering for millimeter-wave (mmWave) systems due to its potential for low complexity and rapid beam search. A key focus of recent research has been the design of codebooks that strike a trade-off between achievable gain and codebook size, which directly impacts beam search time. Statistical approaches have shown promise by leveraging the likelihood that certain beam directions (equivalently, sets of phase-shifter configurations) are more probable than others. Such approaches are shown to be valid for static, non-rotating transmission stations such as base stations. However, for the case of user terminals that are constantly changing orientation, the possible phase-shifter configurations become equally probable, rendering statistical methods less relevant. On the other hand, user terminals come with a large number of possible steering vector configurations, which can span up to six orders of magnitude. Therefore, efficient solutions to reduce the codebook size (set of possible steering vectors) without compromising array gain are needed. We address this challenge by proposing a novel and practical codebook refinement technique, aiming to reduce the codebook size while maintaining array gain within $\gamma$ dB of the maximum achievable gain at any random orientation of the user terminal. We project that a steering vector at a given angle could effectively cover adjacent angles with a small gain loss compared to the maximum achievable gain. We demonstrate experimentally that it is possible to reduce the codebook size from $1024^{16}$ to just a few configurations (e.g., less than ten), covering all angles while maintaining the gain within $\gamma=3$ dB of the maximum achievable gain.

Abstract:Extreme natural phenomena are occurring more frequently everyday in the world, challenging, among others, the infrastructure of communication networks. For instance, the devastating earthquakes in Turkiye in early 2023 showcased that, although communications became an imminent priority, existing mobile communication systems fell short with the operational requirements of harsh disaster environments. In this article, we present a novel framework for robust, resilient, adaptive, and open source sixth generation (6G) radio access networks (Open6GRAN) that can provide uninterrupted communication services in the face of natural disasters and other disruptions. Advanced 6G technologies, such as reconfigurable intelligent surfaces (RISs), cell-free multiple-input-multiple-output, and joint communications and sensing with increasingly heterogeneous deployment, consisting of terrestrial and non-terrestrial nodes, are robustly integrated. We advocate that a key enabler to develop service and management orchestration with fast recovery capabilities will rely on an artificial-intelligence-based radio access network (RAN) controller. To support the emergency use case spanning a larger area, the integration of aerial and space segments with the terrestrial network promises a rapid and reliable response in the case of any disaster. A proof-of-concept that rapidly reconfigures an RIS for performance enhancement under an emergency scenario is presented and discussed.





Abstract:This paper presents reconfigurable intelligent surface (RIS)-aided deep learning (DL)-based spectrum sensing for next-generation cognitive radios. To that end, the secondary user (SU) monitors the primary transmitter (PT) signal, where the RIS plays a pivotal role in increasing the strength of the PT signal at the SU. The spectrograms of the synthesized dataset, including the 4G LTE and 5G NR signals, are mapped to images utilized for training the state-of-art object detection approaches, namely Detectron2 and YOLOv7. By conducting extensive experiments using a real RIS prototype, we demonstrate that the RIS can consistently and significantly improve the performance of the DL detectors to identify the PT signal type along with its time and frequency utilization. This study also paves the way for optimizing spectrum utilization through RIS-assisted CR application in next-generation wireless communication systems.
