



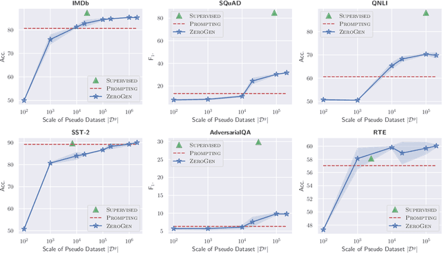
There is a growing interest in dataset generation recently due to the superior generative capacity of large pre-trained language models (PLMs). In this paper, we study a flexible and efficient zero-short learning method, ZeroGen. Given a zero-shot task, we first generate a dataset from scratch using PLMs in an unsupervised manner. Then, we train a tiny task model (e.g., LSTM) under the supervision of the synthesized dataset. This approach allows highly efficient inference as the final task model only has orders of magnitude fewer parameters comparing to PLMs (e.g., GPT2-XL). Apart from being annotation-free and efficient, we argue that ZeroGen can also provide useful insights from the perspective of data-free model-agnostic knowledge distillation, and unreferenced text generation evaluation. Experiments and analysis on different NLP tasks, namely, text classification, question answering, and natural language inference), show the effectiveness of ZeroGen.