Abstract:Processing long contexts has become a critical capability for modern large language models (LLMs). Existing works leverage agent-based divide-and-conquer methods for processing long contexts. But these methods face crucial limitations, including prohibitive accumulated latency and amplified information loss from excessive agent invocations, and the disruption of inherent textual dependencies by immoderate partitioning. In this paper, we propose a novel multi-agent framework XpandA (Expand-Agent) coupled with question-driven workflow and dynamic partitioning for robust long-context processing. XpandA overcomes these limitations through: 1) dynamic partitioning of long texts, which adaptively modulates the filling rate of context windows for input sequences of vastly varying lengths; 2) question-guided protocol to update flat information ensembles within centralized shared memory, constructing consistent inter-agent knowledge across partitions; and 3) selectively replaying specific partitions based on the state-tracking of question-information couples to promote the resolution of inverted-order structures across partitions (e.g., flashbacks). We perform a comprehensive evaluation of XpandA on multiple long-context benchmarks with length varying from 1k to 1M, demonstrating XpandA's feasibility for processing ultra-long sequences and its significant effectiveness in enhancing the long-context capabilities of various LLMs by achieving 20\% improvements and 1.5x inference speedup over baselines of full-context, RAG and previous agent-based methods.




Abstract:Transparent object grasping remains a persistent challenge in robotics, largely due to the difficulty of acquiring precise 3D information. Conventional optical 3D sensors struggle to capture transparent objects, and machine learning methods are often hindered by their reliance on high-quality datasets. Leveraging NeRF's capability for continuous spatial opacity modeling, our proposed architecture integrates a NeRF-based approach for reconstructing the 3D information of transparent objects. Despite this, certain portions of the reconstructed 3D information may remain incomplete. To address these deficiencies, we introduce a shape-prior-driven completion mechanism, further refined by a geometric pose estimation method we have developed. This allows us to obtain a complete and reliable 3D information of transparent objects. Utilizing this refined data, we perform scene-level grasp prediction and deploy the results in real-world robotic systems. Experimental validation demonstrates the efficacy of our architecture, showcasing its capability to reliably capture 3D information of various transparent objects in cluttered scenes, and correspondingly, achieve high-quality, stables, and executable grasp predictions.




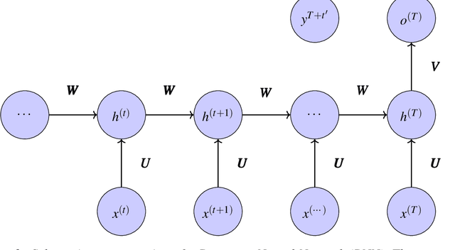
Abstract:Time-series prediction is an active area of research across various fields, often challenged by the fluctuating influence of short-term and long-term factors. In this study, we introduce a feature engineering method that enhances the predictive performance of neural network models. Specifically, we leverage computational topology techniques to derive valuable topological features from input data, boosting the predictive accuracy of our models. Our focus is on predicting wave heights, utilizing models based on topological features within feedforward neural networks (FNNs), recurrent neural networks (RNNs), long short-term memory networks (LSTM), and RNNs with gated recurrent units (GRU). For time-ahead predictions, the enhancements in $R^2$ score were significant for FNNs, RNNs, LSTM, and GRU models. Additionally, these models also showed significant reductions in maximum errors and mean squared errors.