Brandeis University
Abstract:A substantial proportion (45\%) of maternal deaths, neonatal deaths, and stillbirths occur during the intrapartum phase, with a particularly high burden in low- and middle-income countries. Intrapartum biometry plays a critical role in monitoring labor progression; however, the routine use of ultrasound in resource-limited settings is hindered by a shortage of trained sonographers. To address this challenge, the Intrapartum Ultrasound Grand Challenge (IUGC), co-hosted with MICCAI 2024, was launched. The IUGC introduces a clinically oriented multi-task automatic measurement framework that integrates standard plane classification, fetal head-pubic symphysis segmentation, and biometry, enabling algorithms to exploit complementary task information for more accurate estimation. Furthermore, the challenge releases the largest multi-center intrapartum ultrasound video dataset to date, comprising 774 videos (68,106 frames) collected from three hospitals, providing a robust foundation for model training and evaluation. In this study, we present a comprehensive overview of the challenge design, review the submissions from eight participating teams, and analyze their methods from five perspectives: preprocessing, data augmentation, learning strategy, model architecture, and post-processing. In addition, we perform a systematic analysis of the benchmark results to identify key bottlenecks, explore potential solutions, and highlight open challenges for future research. Although encouraging performance has been achieved, our findings indicate that the field remains at an early stage, and further in-depth investigation is required before large-scale clinical deployment. All benchmark solutions and the complete dataset have been publicly released to facilitate reproducible research and promote continued advances in automatic intrapartum ultrasound biometry.
Abstract:Software systems that run for long periods often suffer from software aging, which is typically caused by Aging-Related Bugs (ARBs). To mitigate the risk of ARBs early in the development phase, ARB prediction has been introduced into software aging research. However, due to the difficulty of collecting ARBs, within-project ARB prediction faces the challenge of data scarcity, leading to the proposal of cross-project ARB prediction. This task faces two major challenges: 1) domain adaptation issue caused by distribution difference between source and target projects; and 2) severe class imbalance between ARB-prone and ARB-free samples. Although various methods have been proposed for cross-project ARB prediction, existing approaches treat the input metrics independently and often neglect the rich inter-metric dependencies, which can lead to overlapping information and misjudgment of metric importance, potentially affecting the model's performance. Moreover, they typically use cross-entropy as the loss function during training, which cannot distinguish the difficulty of sample classification. To overcome these limitations, we propose ARFT-Transformer, a transformer-based cross-project ARB prediction framework that introduces a metric-level multi-head attention mechanism to capture metric interactions and incorporates Focal Loss function to effectively handle class imbalance. Experiments conducted on three large-scale open-source projects demonstrate that ARFT-Transformer on average outperforms state-of-the-art cross-project ARB prediction methods in both single-source and multi-source cases, achieving up to a 29.54% and 19.92% improvement in Balance metric.
Abstract:Deep Neural Networks (DNNs) are vulnerable to adversarial attacks, posing significant security threats to their deployment in remote sensing applications. Research on adversarial attacks not only reveals model vulnerabilities but also provides critical insights for enhancing robustness. Although current mixing-based strategies have been proposed to increase the transferability of adversarial examples, they either perform global blending or directly exchange a region in the images, which may destroy global semantic features and mislead the optimization of adversarial examples. Furthermore, their reliance on cross-entropy loss for perturbation optimization leads to gradient diminishing during iterative updates, compromising adversarial example quality. To address these limitations, we focus on non-targeted attacks and propose a novel framework via local mixing and logits optimization. First, we present a local mixing strategy to generate diverse yet semantically consistent inputs. Different from MixUp, which globally blends two images, and MixCut, which stitches images together, our method merely blends local regions to preserve global semantic information. Second, we adapt the logit loss from targeted attacks to non-targeted scenarios, mitigating the gradient vanishing problem of cross-entropy loss. Third, a perturbation smoothing loss is applied to suppress high-frequency noise and enhance transferability. Extensive experiments on FGSCR-42 and MTARSI datasets demonstrate superior performance over 12 state-of-the-art methods across 6 surrogate models. Notably, with ResNet as the surrogate on MTARSI, our method achieves a 17.28% average improvement in black-box attack success rate.




Abstract:A Retrieval-Augmented Generation (RAG) model powered by a large language model (LLM) provides a faster and more cost-effective solution for adapting to new data and knowledge. It also delivers more specialized responses compared to pre-trained LLMs. However, most existing approaches rely on retrieving prefix-sized chunks as references to support question-answering (Q/A). This approach is often deployed to address information needs at a single level of abstraction, as it struggles to generate answers across multiple levels of abstraction. In an RAG setting, while LLMs can summarize and answer questions effectively when provided with sufficient details, retrieving excessive information often leads to the 'lost in the middle' problem and exceeds token limitations. We propose a novel RAG approach that uses chunks of multiple abstraction levels (MAL), including multi-sentence-level, paragraph-level, section-level, and document-level. The effectiveness of our approach is demonstrated in an under-explored scientific domain of Glycoscience. Compared to traditional single-level RAG approaches, our approach improves AI evaluated answer correctness of Q/A by 25.739\% on Glyco-related papers.
Abstract:Automating radiology report generation can significantly reduce the workload of radiologists and enhance the accuracy, consistency, and efficiency of clinical documentation.We propose a novel cross-modal framework that uses MedCLIP as both a vision extractor and a retrieval mechanism to improve the process of medical report generation.By extracting retrieved report features and image features through an attention-based extract module, and integrating them with a fusion module, our method improves the coherence and clinical relevance of generated reports.Experimental results on the widely used IU-Xray dataset demonstrate the effectiveness of our approach, showing improvements over commonly used methods in both report quality and relevance.Additionally, ablation studies provide further validation of the framework, highlighting the importance of accurate report retrieval and feature integration in generating comprehensive medical reports.




Abstract:Stimulated Brillouin scattering (SBS) is revolutionizing low-noise lasers and microwave photonic systems. However, despite extensive explorations of a low-loss and versatile integrated platform for Brillouin photonic circuits, current options fall short due to limited technological scalability or inadequate SBS gain. Here we introduce the thin-film lithium niobate (TFLN) platform as the go-to choice for integrated Brillouin photonics applications. We report the angle-dependent strong SBS gain in this platform, which can overcome the intrinsic propagation loss. Furthermore, we demonstrate the first stimulated Brillouin laser in TFLN with a tuning range > 20 nm and utilize it to achieve high-purity RF signal generation with an intrinsic linewidth of 9 Hz. Finally, we devise a high-rejection Brillouin-based microwave photonic notch filter, for the first time, integrating an SBS spiral, an on-chip modulator, and a tunable ring all within the same platform. This TFLN-based Brillouin photonics engine uniquely combines the scalability of this platform and the versatility of SBS. Moreover, it bridges SBS with other functionalities in the TFLN platform, unlocking new possibilities for Brillouin-based applications with unparalleled performances.




Abstract:Errors or failures in a high-volume manufacturing environment can have significant impact that can result in both the loss of time and money. Identifying such failures early has been a top priority for manufacturing industries and various rule-based algorithms have been developed over the years. However, catching these failures is time consuming and such algorithms cannot adapt well to changes in designs, and sometimes variations in everyday behavior. More importantly, the number of units to monitor in a high-volume manufacturing environment is too big for manual monitoring or for a simple program. Here we develop a novel program that combines both rule-based decisions and machine learning models that can not only learn and adapt to such day-to-day variations or long-term design changes, but also can be applied at scale to the high number of manufacturing units in use today. Using the current state-of-the-art technologies, we then deploy this program at-scale to handle the needs of ever-increasing demand from the manufacturing environment.




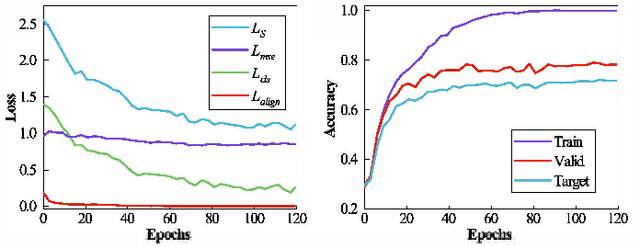
Abstract:The distribution shift of electroencephalography (EEG) data causes poor generalization of braincomputer interfaces (BCIs) in unseen domains. Some methods try to tackle this challenge by collecting a portion of user data for calibration. However, it is time-consuming, mentally fatiguing, and user-unfriendly. To achieve zerocalibration BCIs, most studies employ domain generalization (DG) techniques to learn invariant features across different domains in the training set. However, they fail to fully explore invariant features within the same domain, leading to limited performance. In this paper, we present an novel method to learn domain-invariant features from both interdomain and intra-domain perspectives. For intra-domain invariant features, we propose a knowledge distillation framework to extract EEG phase-invariant features within one domain. As for inter-domain invariant features, correlation alignment is used to bridge distribution gaps across multiple domains. Experimental results on three public datasets validate the effectiveness of our method, showcasing stateof-the-art performance. To the best of our knowledge, this is the first domain generalization study that exploit Fourier phase information as an intra-domain invariant feature to facilitate EEG generalization. More importantly, the zerocalibration BCI based on inter- and intra-domain invariant features has significant potential to advance the practical applications of BCIs in real world.
Abstract:Training multiple-layered deep neural networks (DNNs) is difficult. The standard practice of using a large number of samples for training often does not improve the performance of a DNN to a satisfactory level. Thus, a systematic training approach is needed. To address this need, we introduce an innovative approach of using metamorphic relations (MRs) as "knowledge carriers" to train DNNs. Based on the concept of metamorphic testing and MRs (which play the role of a test oracle in software testing), we make use of the notion of metamorphic group of inputs as concrete instances of MRs (which are abstractions of knowledge) to train a DNN in a systematic and effective manner. To verify the viability of our training approach, we have conducted a preliminary experiment to compare the performance of two DNNs: one trained with MRs and the other trained without MRs. We found that the DNN trained with MRs has delivered a better performance, thereby confirming that our approach of using MRs as knowledge carriers to train DNNs is promising. More work and studies, however, are needed to solidify and leverage this approach to generate widespread impact on effective DNN training.