



Abstract:Graph neural networks (GNNs) have shown promise in integrating protein-protein interaction (PPI) networks for identifying cancer genes in recent studies. However, due to the insufficient modeling of the biological information in PPI networks, more faithfully depiction of complex protein interaction patterns for cancer genes within the graph structure remains largely unexplored. This study takes a pioneering step toward bridging biological anomalies in protein interactions caused by cancer genes to statistical graph anomaly. We find a unique graph anomaly exhibited by cancer genes, namely weight heterogeneity, which manifests as significantly higher variance in edge weights of cancer gene nodes within the graph. Additionally, from the spectral perspective, we demonstrate that the weight heterogeneity could lead to the "flattening out" of spectral energy, with a concentration towards the extremes of the spectrum. Building on these insights, we propose the HIerarchical-Perspective Graph Neural Network (HIPGNN) that not only determines spectral energy distribution variations on the spectral perspective, but also perceives detailed protein interaction context on the spatial perspective. Extensive experiments are conducted on two reprocessed datasets STRINGdb and CPDB, and the experimental results demonstrate the superiority of HIPGNN.




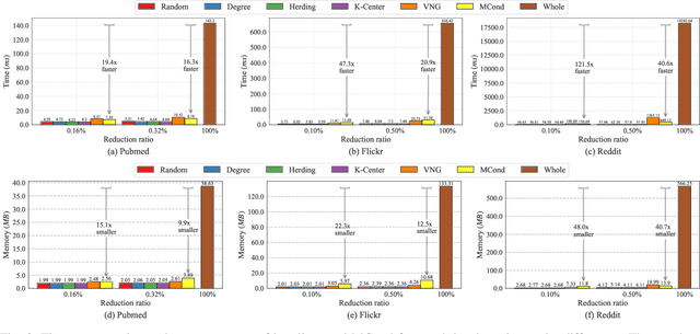
Abstract:Graph neural networks (GNNs) encounter significant computational challenges when handling large-scale graphs, which severely restricts their efficacy across diverse applications. To address this limitation, graph condensation has emerged as a promising technique, which constructs a small synthetic graph for efficiently training GNNs while retaining performance. However, due to the topology structure among nodes, graph condensation is limited to condensing only the observed training nodes and their corresponding structure, thus lacking the ability to effectively handle the unseen data. Consequently, the original large graph is still required in the inference stage to perform message passing to inductive nodes, resulting in substantial computational demands. To overcome this issue, we propose mapping-aware graph condensation (MCond), explicitly learning the one-to-many node mapping from original nodes to synthetic nodes to seamlessly integrate new nodes into the synthetic graph for inductive representation learning. This enables direct information propagation on the synthetic graph, which is much more efficient than on the original large graph. Specifically, MCond employs an alternating optimization scheme with innovative loss terms from transductive and inductive perspectives, facilitating the mutual promotion between graph condensation and node mapping learning. Extensive experiments demonstrate the efficacy of our approach in inductive inference. On the Reddit dataset, MCond achieves up to 121.5x inference speedup and 55.9x reduction in storage requirements compared with counterparts based on the original graph.